Các chỉ tiêu phân tích dãy số thời gian

Để nêu lên đặc điểm biến động của hiện tượng qua thời gian, người ta thường tính các chỉ tiêu.

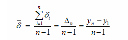
Mức độ trung bình qua thời gian

Chỉ tiêu này phản ánh mức độ đại diện của hiện tượng trong suốt thời gian nghiên cứu.

Tuỳ theo dãy số thời kỳ hoặc dãy số thời điểm mà có các công thức tính khác nhau.

  • Đối dãy số thời kỳ, mức độ trung bình theo thời gian được tính theo công thức sau đây:
  • Đối với một dãy số thời điểm có khoảng cách thời gian bằng nhau có công thức sau đây:

  • Đối với dãy số thời điểm có khoảng cách thời gian không bằng nhau thì mức độ trung bình theo thời gian được tính bằng công thức sau:

Lượng tăng (giảm) tuyệt đối

Chỉ tiêu này phản ánh sự thay đổi về mức độ tuyệt đối giữa hai thời gian nghiên cứu.

Tuỳ theo mục đích nghiên cứu, ta có chỉ tiêu về lượng tăng (giảm) sau đây:

  • Lượng tăng (giảm) tuyệt đối liên hoàn là hiệu số giữa mức độ kỳ nghiên cứu (yi) và mức độ kỳ đứng liền trước đó (yi-1).

Chỉ tiêu này phản ánh mức tăng (giảm) tuyệt đối giữa hai thời gian liền nhau.

Công thức tính như sau:

  • Lượng tăng (giảm) tuyệt đối định gốc (tính dồn) là hiệu số giữa mức độ kỳ nghiên cứu (yi) và mức độ của một kỳ nào đó được chọn làm gốc, thường là mức độ đầu tiên trong dãy số (yi).

Chỉ tiêu này phản ánh mức tăng (giảm) tuyệt đối trong những khoảng thời gian dài.

Công thức tính:

Tức là tổng các lượng tăng hoặc giảm tuyệt đối liên hoàn bằng lượng tăng (giảm) tuyệt đối định gốc.

  • Lượng tăng (giảm) tuyệt đối trung bình:

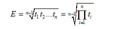
Tốc độ phát triển

Tốc độ phát triển là một số tương đối (biểu hiện bằng lần hoặc %) phản ánh tốc độ và xu hướng biến động của hiện tượng qua thời gian.

Tuỳ theo mục đích nghiên cứu, ta có các loại tốc độ phát triển sau đây:

  • Tốc độ phát triển liên hoàn phản ánh sự biến động của hiện tượng hai thời gian liền nhau.
  • Tốc độ phát triển định gốc phản ánh sự biến động của hiện tượng ở hai thời gian không liền nhau, trong đó, người ta chọn một thời gian làm gốc thông thường chọn thời gian đầu tiên làm gốc.

Công thức tính như sau:

Quan hệ giữa tốc độ phát triển liên hoàn với tốc độ phát triển định gốc là:

  • Tích các tốc độ phát triển liên hoàn bằng tốc độ phát triển định gốc.
  • Tốc độ phát triển trung bình là trị số đại biểu của tốc độ phát triển liên hoàn. Vì các tốc độ phát triển liên hoàn có quan hệ tính tốc độ phát triển bình quân, người ta sử dụng công thức số trung bình nhân.

Tốc độ tăng (giảm)

Cho biết qua thời gian, hiện tượng được nghiên cứu tăng (+) hoặc giảm (-) bao nhiêu lần hoặc bao nhiêu (%).

  • Tốc độ tăng (giảm) liên hoàn hay từng thời kỳ là tỷ số giữa lượng tăng (giảm) liên hoàn với mức độ kỳ gốc liên hoàn.

Nếu kí hiệu ai = (i = 2, 3, …n) là tốc độ tăng hay (giảm) liên hoàn thì

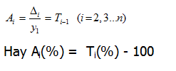
  • Tốc độ tăng (giảm) định gốc là tỷ số giữa lượng tăng hoặc (giảm) định gốc với mức độ kỳ gốc cố định.

Nếu kí hiệu Ai(i = 2,3,…n) là các tốc độ tăng (giảm) định gốc thì

  • Tốc độ tăng (giảm) trung bình là chỉ tiêu phản ánh tốc độ tăng (giảm) đại biểu trong suốt thời gian nghiên cứu. Kí hiệu
    là tốc độ (+) hoặc (-) trung bình.

Chỉ tiêu 1% tăng (giảm)

Chỉ tiêu này phản ánh cứ 1% tăng (giảm) của tốc độ tăng (giảm) liên hoàn thì tương ứng với một trị số tuyệt đối là bao nhiêu.

Kí hiệu gi(i = 2, 3…n) là giá trị tuyệt đối của 1% tăng (hoặc giảm) thì ta có công thức sau:

Chỉ tiêu này tính tốc độ tăng (giảm) liên hoàn, còn đối với tốc độ tăng (giảm) định gốc thì không tính vì nó luôn là một số không đổi và bằng y1/100

Chỉ tiêu này thể hiện một cách cụ thể về việc kết hợp giữa số tuyệt đối và số tương đối trong thống kê.