Các phương pháp tính chỉ số

Khi phân tích, so sánh các mức độ khác nhau của hiện tượng kinh tế - xã hội, ta có thể dùng các phương pháp tính chỉ số khác nhau.

Phương pháp tính chỉ số cá thể (chỉ số đơn)

Phản ánh sự biến động của từng đơn vị, hiện tượng cá biệt.

Chỉ số cá thể về chỉ tiêu chất lượng

Trong đó: p1, p0: trị số của chỉ tiêu chất lượng của từng phần tử ở kỳ nghiên cứu và kỳ gốc.

Chỉ số này dùng để phản ánh sự biến động về giá cả của từng hiện tượng kinh tế - xã hội.

Chỉ số cá thể về chỉ tiêu khối lượng

Trong đó: q1, q0: trị số của chỉ tiêu khối lượng của từng phần tử ở kỳ nghiên cứu và kỳ gốc.

Chỉ số này dùng để phản ánh sự biến động về lượng hàng hoá tiêu thụ của từng mặt hàng.

VD: Trong khi xem xét sự phát triển của ngành công nghiệp ở Việt Nam, ta có bảng số liệu sau:

Tuy nhiên, trong thực tế, khi dùng phương pháp chỉ số để phân tích các hiện tượng kinh tế - xã hội, người ta ít sử dụng phương pháp tính chỉ số cá thể. Do có rất nhiều các nhân tố khác nhau cùng ảnh hưởng đến sự phát triển của một hiện tượng kinh tế - xã hội, vì vậy, nếu dùng chỉ số cá thể thì không thể thấy rõ được mức độ tác động của từng nhân tố đến hiện tượng kinh tế - xã hội đó. Do vậy, người ta thường xuyên sử dụng phương pháp tính chỉ số chung.

Phương pháp tính chỉ só chung

Chỉ số chung được tính theo hai phương pháp khác nhau: phương pháp chỉ số tổng hợp và phương pháp chỉ số bình quân.

Phương pháp chỉ số tổng hợp

Phản ánh sự biến động chung của nhiều đơn vị, hiện tượng cá biệt.

Nguyên tắc tính chỉ số tổng hợp:

  • Khi tính chỉ số tổng hợp, phải chuyển các nhân tố khác nhau của cùng một hiện tượng phức tạp về dạng đồng nhất để có thể tổng hợp và tiến hành so sánh.
  • Khi nghiên cứu ảnh hưởng của một nhân tố nào đó đến sự phát triển của một hiện tượng kinh tế - xã hội thì phải cố định các nhân tố còn lại. Nhân tố cố định đó đóng vai trò là quyền số của chỉ số.

Chỉ số tổng hợp về chỉ tiêu chất lượng

Để tính chỉ số tổng hợp về chất lượng (giá cả), chúng ta không thể cộng từng giá của từng mặt hàng khác nhau. VD: trong ngành công nghiệp có rất nhiều các mặt hàng khác nhau như: may mặc, sắt, thép… Nếu có giá cả của từng loại mặt hàng của các ngành trên, ta không thểtính trung bình cộng giản đơn của các chỉ số đơn về giá cả và cách tính đó không xét được đến lượng hàng hoá tiêu thụ khác nhau của từng mặt hàng và lượng hàng hoá đó lại có ảnh hưởng trực tiếp đến biến động chung giá cả khác nhau.

Vì vậy, để nghiên cứu biến động của giá cả, phải cố định lượng hàng hoá tiêu thụ ở một thời kỳ nhất định và việc cố định nhân tố này gọi là quyền số của chỉ số tổng hợp về chỉ tiêu chất lượng (giá cả).

Nếu chọn chỉ tiêu khối lượng kỳ góc (q0) làm quyền số, ta có công thức:

Đây là công thức do nhà kinh tế học người Đức tên là Laspeyres đề xuất năm 1864 nên được gọi là chỉ số giá cả của Laspeyres.

Nếu chọn quyền số là lượng hàng hoá tiêu thụ kỳ nghiên cứu:

Công thức này do nhà kinh tế học người Đức là Pasches đề xuất năm 1874, nên được gọi là chỉ số giá cả của Pascher.

Hai công thức (1) và (2) có điểm khác nhau là việc chọn quyền số. Do quyền số khác nhau dẫn đến kết quả tính toán và ý nghĩa kinh tế khác nhau. Trong thực tế, bằng kinh nghiệm lâu năm, ở Việt Nam thường áp dụng công thức chỉ số tổng hợp về chỉ tiêu chất lượng (giá cả) của Pascher.

Khi giữa công thức (1) và (2) có sự khác biệt đáng kể, ta có thể dùng công thức do nhà kinh tế học Fisher đề xuất năm 1921:

Xuất phát từ việc chỉ số tổng hợp của Laspeyres và Pascher không có tính nghịch đảo và liên hoàn, vì vậy Pisher đã đưa ra công thức (3) thực chất là trung bình nhân của hai chỉ số trên.

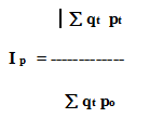
Chỉ số tổng hợp về chỉ tiêu khối lượng

Nguyên tắc tính:

Phải cố định giá ở một thời kỳ nhất định; đây chính là quyền số của chỉ số tổng hợp về khối lượng

Nếu chọn chỉ tiêu chất lượng kỳ gốc (p0) làm quyền số; ta có công thức:

Công thức (4) gọi là chỉ số tổng hợp về khối lượng của Laspeyres.

Nếu chọn chỉ tiêu chất lượng kỳ nghiên cứu (p1) làm quyền số, ta có công thức:

Công thức (5) gọi là chỉ số tổng hợp về khối lượng của Pascher.

Xuất phát từ ý nghĩa kinh tế thực tế của lượng chênh lệch tuyệt đối Δpq(q), trong nghiên cứu thống kê ở Việt Nam thường chọn công thức (5) để tính chỉ số tổng hợp về chỉ tiêu khối lượng hàng hoá tiêu thụ nói riêng và chỉ tiêu khối lượng nói chung.

Ngoài ra, chúng ta có thể sử dụng công thức chỉ số tổng hợp về khối lượng của Fisher:

Công thức (6) được dùng phổ biến ở các nước kinh tế thị trường. Tuy nhiên, do hạn chế về vấn đề tính toán lượng chênh lệch tuyệt đối và do yêu cầu liên kết giữa các chỉ số với mục đích phân tích nhân tố không được thực hiện được nên chỉ số này ít được sử dụng trong phân tích nhân tố.

Phương pháp chỉ số bình quân

Bản chất của chỉ số tổng hợp là trung bình gia quyền chỉ số cá thể trong đó quyền số có thể là p0q0 hoặc p1q1. Phương pháp chỉ số bình quân cho ta kết quả tính toán và ý nghĩa kinh tế hoàn toàn giống với chỉ số tổng hợp.

Như vậy tương ứng với các chỉ số tổng hợp có các chỉ số bình quân.

Chỉ số bình quân cộng

Được dùng để tính chỉ số chung về chỉ tiêu khối lượng:

- Iq = iq . d0

Chỉ số bình quân điều hoà:

Được dùng để tính chỉ số chung về chỉ tiêu chất lượng.