Chất lượng tín dụng trung - dài hạn trong hoạt động của các ngân hàng thương mại

Sự cần thiết phải nâng cao chất lượng tín dụng trung - dài hạn

Nâng cao chất lượng tín dụng trung - đài hạn là đòi hỏi bức thiết đối với sự phát triển kinh tế

Trước hết, ta hiểu chất lượng tín dụng là sự đáp ứng nhu cầu của khách hàng phù hợp với sự phát triển kinh tế - xã hội và đảm bảo sự tồn tại và phát triển của ngân hàng. Chất lượng tín dụng trung - dài hạn chính là vốn cho vay trung - dài hạn của ngân hàng được khách hàng đưa vào quá trình sản xuất kinh doanh dịch vụ … để tạo ra một số tiền lớn hơn thông qua đó ngân hàng sẽ thu được cả gốc và lãi cho ngân hàng đúng thời hạn, bù đắp được chi phí và có lợi nhuận. Như vậy, qua một quá trình chu chuyển vốn, ngân hàng sẽ thu hồi vốn và lãi cón khách hàng sử dụng vốn có hiệu quả. Xét về tổng thể ngân hàng vừa tạo ra được hiệu quả kinh tế vừa tạo ra được hiệu quả xã hội.

Sinh ra từ nền sản xuất hàng hoá, tín dụng đã có những đóng góp đáng kể trong việc thúc đẩy quá trình tích tụ và tập trung vốn để đẩy mạnh tiến trình phát triển của nền kinh tế. Sinh ra từ nền sản xuất hàng hoá, tín dụng đã có những đóng góp đáng kể trong việc thúc đẩy quá trình tích tụ và tập trung vốn để đẩy mạnh tiến trình phát triển của xã hội. lịch sử đã chứng minh điều đó thông qua sự ra đời và phát triển của xã hội loài người qua các hình thái kinh tế -xã hội.

Ngày nay cùng với sự phát triển của sản xuất và lưu thông hàng hoá, tín dụng cũng ngày càng phát triển nhằm cung cấp thêm các phương tiện giao dịch để đáp ứng nhu cầu giao dịch ngày càng tăng trong xã hội. Trong điều kiện đó, chất lượng tín dụng ngày càng được quan tâm bởi vì:

Đảm bảo chất lượng tín dụng là điều kiện để ngân hàng làm tốt vai trò trung tâm thanh toán: khi chất lượng tín dụng được đảm bảo sẽ tăng vòng quay vốn tín dụng, với một khối lượng tiền như cũ, có thể thực hiện số lần giao dịch lớn hơn, tạo điều kiện tiết kiệm tiền trong lưu thông, củng cố sức mua của đồng tiền.

Chất lượng tín dụng góp phần kiềm chế lạm phát, ổn định tiền tệ, tăng trưởng kinh tế, tăng uy tín quốc gia. Xuất phát từ chức năng tập trung và phân phối lại vốn trong nền kinh tế, tín dụng trung - dài hạn đã thu hút những nguồn vốn dư thừa, tạm thời nhàn rỗi để đưa vào hoạt động sản xuất kinh doanh, đáp ứng nhu cầu vốn cho doanh nghiệp từ đố phục vụ cho sự tăng trưởng nền kinh tế. Mặt khác tín dụng trung - dài hạn là một trong những cách để đưa tiền vào lưu thông nhằm làm cho khối lượng tiền tệ trong nền kinh tế phù hợp với khối lượng hàng hoá. Xuất phát từ chức năng tạo tiền của các ngân hàng thương mại, thông qua cho vay chuyển khoản, thực hiện thanh toán không dùng tiền mặt, các ngân hàng thương mại có thể mở rộng tiền ghi sổ gấp nhiều lần so với sô tiền thực có hoặc vì lý do nào đó, các chủ tài khoản có khả năng phát hành séc và thanh toán bằng các phương tiện khách cho khách vượt quá số tiền gửi thực tế của hộ … nhưng khi đi vào lưu thông chúng đều có quyển thanh toán, chi trả như các phương tiện khác và thường chúng được chuyển thành tiền mặt. Như vậy nghiệp vụ tín dụng của ngân hàng thương mại có quan hệ chặt chẽ với khối lượng tiền mặt trong lưu thông và là nguyên nhân tiềm ẩn của lạm phát. Đảm bảo chất lượng tín dụng sẽ tạo khả năng giảm bớt lượng tiền thừa trong lưu thông, góp phần hạn chế lạm phát, ổn định tiền tê, tăng uy tín quốc gia bằng việc phát huy tác dụng của các sản phẩm, dịch vụ trương tương lai của các công trình đầu tư.

Tín dụng là công cụ thực hiện chủ trưởng của Đảng và Nhà nước về phát triển kinh tế - xã hội theo từng ngành, từng lĩnh vực, mặt khác, thông qua sự phân tích đánh giá khả năng phát triển của đối tượng định đầu tư để có những quyết định đầu tư đúng đắn nhằm khai thác khả năng tiềm tàng về tài nguyên, lao động, tiền vốn… để tăng cường năng lực sản xuất, cung cấp ngày càng nhiều sản phẩm cho xã hội, giải quyết công ăn việc làm, tăng thu nhập cho người lao động… chất lượng tín dụng trung - dài hạn được nâng cao sẽ góp phần tăng hiệu quả sản xuất xã hội, đảm bảo sự phát triển cân đối giữa các vùng, các ngành trong cả nước, ổn định và phát triển kinh tế.

Chất lượng tín dụng trung - dài hạn góp phần làm lanh mạnh quan hệ tín dụng: hoạt động tín dụng được mở rộng với các thủ tục đơn giản hoá, thuận tiện nhưng vẫn tuân thủ các nguyên tắc tín dụng sẽ góp phần cho vay đúng các đối tượng cần thiết, giảm thiểu và đi đến xoá bỏ nạn cho vay nặng lãi chủ yếu hiện nay đang hoành hành ở nông thôn và các vùng xa xôi hẻo lánh.

Tín dụng nói chung và tín dụng trung - dài hạn nói riêng có mối quan hệ mật thiết với nền kinh tế - xã hội, thiết lập một mối cơ chế chính sách đồng bộ, có hiệu quả sẽ có tác động tích cực với mọi mặt của nền kinh tế - xã hội, điều đó cũng có thể hiện chất lượng hoạt động tín dụng trong nền kinh tế thị trường.

Nâng cao chất lượng tín dụng quyết định sự tồn tại và phát triển của các ngân hàng thương mại

Chất lượng tín dụng trung - dài hạn tốt làm tăng khả năng cung cấp dịch vụ của các ngân hàng thương mại do tạo thêm nguồn vốn từ việc tăng được vòng quay vốn tín dụng và thu hút được nhiều khách hàng bởi các hình thức của sản phẩm, dịch vụ tạo ra một hình ảnh về biểu tượng và uy tín của ngân hàng và sự trung thành của khách hàng.

Chất lượng tín dụng trung - dài hạn tốt làm tăng khả năng sinh lợi của sản phẩm, dịch vụ ngân hàng do giảm được sự chậm trễ, giảm chi phí nghiệp vụ, chi phí quản lý, các chi phí thiệt hại do không thu hồi được vốn vay đã cho vay. Mặt khác nó còn đảm bảo khả năng thanh toán và lợi nhuận của ngân hàng, tạo thế mạnh cho ngân hàng trong cạnh tranh, tạo thuận lợi cho sự tồn tại lâu dài của ngân hàng vì chất lượng tín dụng tốt tạo cho ngân hàng có nhiều khách hàng trung thành và những khoản lợi nhuận để bổ xung vốn đầu tư. Bên cạnh đó, chất lượng tín dụng tốt giúp ngân hàng củng cố các mối quan hệ xã hội bằng những điều kiện tốt nhất.

Có thể nói, với những ưu thế trên, việc củng cố và tăng cường chất lượng tín dụng trung - dài hạn của các ngân hàng thương mại là sự cần thiết khách quan vì sự tồn tại và phát triển lâu dài của các ngân hàng thương mại. Vì vậy, chất lượng tín dụng luôn luôn đòi hỏi phải được nâng cao..

Các chỉ tiêu đánh giá chất lượng tín dụng trung - đài hạn

Chất lượng tín dụng trung - dài hạn được xem xét, đánh giá thông qua hệ thống chỉ tiêu sau:

Về phía khách hàng:

a. Các chỉ tiêu định tính đó là:

- Dự án sử dụng vốn vay trung - dài hạn của ngân hàng có đủ cơ sở pháp lý, kinh tế, kỹ thuật để thực hiện được.

- Vốn vay được sử dụng đúng mục đích và có hiệu quả, đảm bảo đủ khả năng trả ngân hàng nợ gốc và lãi, trang trải chi phí khác và để lại cho doanh nghiệp một khoản thu nhập.

b. Các chỉ tiêu định lượng đó là:

- Thời gian thi công, thực hiện dự án đảm bảo đúng tiến độ.

- Chi phí phải không được vượt quá mức chi phí cho phép.

- Doanh thu phải không được thấp hơn mức doanh thu dự kiến.

- Lợi nhuận phải đạt hoặc vượt quá mức lợi nhuận đã định trong dự án.

Về phía ngân hàng

a. Các chỉ tiêu định tính đó là:

- Cho vay phải tuân thủ ba nguyên tắc: vốn vay phải được đảm bảo bằng tài sản đảm bảo nợ vay, phải hoàn trả vốn, lãi đúng thời hạn và theo cam kết tại hợp đồng tín dụng đã ký.

- Cho vay phải tuân thủ các điều kiện như lập hồ sơ cho vay, có phương án sản xuất kinh doanh, có báo cáo tài chính, sản xuất kinh doanh phải có hiệu quả, có tài sản thế chấp hợp pháp… kèm theo đó là việc kiểm tra trước, trong và sau khi vay.

b. Các chỉ tiêu định lượng đó là:

- Chỉ tiêu nợ quá hạn: là chỉ tiêu cơ bản cho biết chất lượng một khoản cho vay:

Đến kỳ hạn trả nợ và lãi tiền vay, nếu bên đi vay không đủ tiền để trả và không được gia hạn nợ thì ngân hàng sẽ chuyển số nợ đó sang nợ quá hạn. Nợ quá hạn chính là điều mà ngân hàng không hề mong muốn nhưng nó không phải là thước đo chuẩn để căn cứ vào đó đánh giá chất lượng tín dụng của món vay. Trên thực tế, các ngân hàng luôn cố gắng tìm cách để hạ tỷ lệ nợ quá hạn tới mức thấp nhất có thể được.

Chỉ tiêu này cho biết tỷ lệ nợ quá hạn của trung - dài hạn chiếm bao nhiêu phần trăm trong tổng dư nợ tín dụng. Tỷ lệ này không có hoặc càng nhỏ càng tốt.

- Chỉ tiêu nợ quá hạn khó đòi:

Nếu tỷ lệ này cao thì nó phản ánh rằng món cho vay của ngân hàng có chất lượng rất thấp, hoạt động của ngân hàng không có hiệu quả và các chỉ tiêu khác để đánh giá chất lượng tín dụng trung - dài hạn trở nên không có giá trị. Vì vậy chỉ tiêu này không có hoặc càng thấp càng tốt.

Thông qua chỉ tiêu này, ta sẽ thấy được khả năng sinh lời của tín dụng trung - dài hạn. Bất kỳ một khoản tín dụng nào cho dù đó là khoản ngắn hạn hay trung - dài hạn không thể xem là có chất lượng cao nếu nó không đem lại lợi nhuận thực tế cho ngân hàng. Tuy nhiên đối với các ngân hàng, đặc biệt là các ngân hàng quốc doanh thì lợi nhuận nhiều khi không phải là cái đích để ngân hàng hướng tới mà điều quan trọng là thực hiện được chủ trương, chính sách của Đảng và nhà nước. Đặc biệt đối với NHNo & PTNT, với chức năng cho vay trung - dài hạn với mức lãi suất kể cả lãi suất ưu đãi tín dụng để thực hiện các đường lối, chính sách của Đảng và Nhà nước thì trong nhiều trường hợp lợi nhuận không phải là mục tiêu mà ngân hàng cần phải hướng tới. Nói như vậy không có nghĩa là ngân hàng không quan tâm tới lợi nhuận. Vì sự tồn tại và phát triển của bản thân ngan hàng mà ngân hàng không thể cho vay các món vay có lợi nhuận bằng không hoặc nhỏ hơn không. Nhìn chung nếu như c các chỉ tiêu khác giữa các dự án cho vay là như nhau thì dự án cho vay nào đem lại lợi nhuận cao hơn vẫn thường được các ngân hàng ưu ái hơn. Thường thì chỉ tiêu này càng cao càng tốt.

Chỉ tiêu này cho ta biết ngân hàng thu nợ theo kế hoạch trong hợp đồng tín dụng được bao nhiêu để có thể lại cho vay dự án mới. Vòng quay của vốn càng lớn thì càng tốt vì điều đó khẳng định ngân hàng thu được nhiều nợ và chứng tỏ nguồn vốn trung - dài hạn ngân hàng đã đầu tư hoạt động có hiệu quả. Ngược lại, nếu vòng quay của vốn càng nhỏ thì việc thu nợ của ngân hàng là kém và nguồn vốn trung - dài hạn mà ngân hàng đã đầu tư hoạt động kém hiệu quả.

Như vậy khi xem xét đánh giá chất lượng tín dụng trung - dài hạn, ta không thể căn cứ vào một chỉ tiêu cụ thể nào mà phải sử dụng tổng hợp một hệ thống các chỉ tiêu để có thể đưa ra kết luận chính xác. Giữa chất lượng tốt và chất lượng chưa tốt không phải lúc nào cũng rạch ròi mà có thể rất khó nhận ra. Ngay cả khi ta sử dụng mọi chỉ tiêu thì ta cũng chưa thể đánh giá chính xác được chất lượng cho vay vì chất lượng tín dụng vừa mang tính cụ thể vừa mang tính trìu tượng. Sự trìu tượng, mơ hồ ở các dự án nhiều khi là rất lớn, đặc biệt thể hiện trong các dự án cho vay vì mục tiêu xã hội hay theo định hướng phát triển kinh tế của đất nước.

Tóm lại, các chỉ tiêu đánh giá, xem xét chất lượng tín dụng phải luôn được xem xét phân tích thường xuyên cả hai mặt định tính và định lượng, cả về lợi nhuận thuần tuý và lợi ích xã hội, cả trên quan điểm ngân hàng và khách hàng. Thực hiện được điều này sẽ giúp cho bản thân các ngân hàng cũng như khách hàng đánh giá được chất lượng tín dụng một cách chính xác đầy đủ nhất. Qua đó có thể giải quyết được những hạn chế, vướng mắc cũng như phát huy được những ưu điểm để nâng cao chất lượng tín dụng trung - dài hạn, góp phần thúc đẩy sự phát triển của nền kinh tế đất nước.

Những nhân tố ảnh hưởng tới chất lượng tín dụng trung - dài hạn

Những nhân tố khách quan

a. Môi trường kinh tế:

Môi trường kinh tế dù thay đổi theo chiều hướng nào cũng đều tác động tới chất lượng tín dụng của ngân hàng. Nếu sự thay đổi theo chiều hướng tốt thì chất lượng của các khoản tín dụng trung - dài hạn sẽ được nâng cao. Ngược lại, sự thay đổi theo chiều hướng xấu thì sẽ làm cho chất lượng các khoản tín dụng trung - dài hạn xấu đi ngoài ý muốn. Ví dụ khi nền kinh tế có hiện tượng lạm phát tăng vọt, giá cả đồng tiền giảm sút, chỉ số giá cả tăng nhanh gây khó khăn cho sản xuất kinh doanh, tác động xấu đến khả năng thu hồi công nợ của ngân hàng. Hay khi có sự biến động lớn trong tỷ giá do sự thay đổi chính sách tiền tệ của Nhà nước, đồng nội tệ bị giảm giá, các doanh vốn bằng ngoại tệ mà không có nguồn thu bằng ngoại tệ sẽ gặp khó khăn trong việc trả nợ ngân hàng. Sự biến động về tỷ giá như vậy cũng khiến các doanh nghiệp phải nhập thiết bị nước ngoài lẽ ra đã vay ngân hàng đủ tiền sẽ trở thành không đủ tiền để nhập gây ảnh hưởng trực tiếp tới chất lượng khoản vay.

Nói như vậy không có nghĩa là chỉ môi trường kinh tế trong nước này thay đổi sẽ tác động tới chất lượng tín dụng trung - dài hạn mà sự thay đổi của môi trường kinh tế thế giới cũng gây ảnh hưởng không nhỏ, đặc biệt là đối với doanh nghiệp hoạt động xuất nhập khẩu. Sự thay đổi ấy thể hiện trực tiếp qua sự biến động về nhu cầu thị trường, sự biến động về tỷ giá khiến cho các doanh nghiệp kinh doanh xuất nhập khẩu bị thua lỗ ảnh hưởng tới việc trả nợ ngân hàng của doanh nghiệp.

b. Môi trường chính trị - xã hội

Môi trường chính trị - xã hội ổn định sẽ giúp cho các doanh nghiệp mạnh dạn đầu tư lâu dài cho hoạt động sản xuất kinh doanh. Ngược lại, nếu môi trường chính trị - xã hội mà bất ổn thì các doanh nghiệp sẽ không dám mạnh dạn đầu tư mà chỉ duy trì ở mức tái sản xuất giản đơn để bảo đảm an toàn vốn. Điều này sẽ ảnh hưởng tới quy mô các khoản tín dụng trung - dài hạn của ngân hàng, các món vay chủ yếu sẽ là ngắn hạn còn khoản tín dụng trung - dài hạn sẽ không có hoặc rất nhỏ vì sự không ổn định về chính trị - xã hội dẫn đến việc kinh doanh của doanh nghiệp gặp nhiều rủi ro, bất trắc hơn nên nó sẽ ảnh hưởng tới công tác thu nợ của ngân hàng.

Tuy nhiên, không chỉ có tình hình chính trị xã hội mà cả tình hình chính trị - xã hội ở nước ngoài cũng có ảnh hưởng tới chất lượng tín dụng trung - dài hạn bởi vì hiện nay các quan hệ kinh tế - xã hội ngày càng được mở rộng cho nên các loại hình doanh nghiệp đa quốc gia cũng ngày càng tăng cả về số lượng và quy mô hoạt động. Vì vậy, mọi biến động về kinh tế - xã hội ở nước ngoài đều có ảnh hưởng tới tình hình kinh tế, chính trị, xã hội trong nước và ảnh hưởng tới chất lượng tín dụng trung - dài hạn.

c. Môi trường pháp lý

Pháp lý là một bộ phận không thể thiếu của nền kinh tế thị trường có sự điều tiết của nhà nước. Không có pháp luật hoặc pháp luật không phù hợp với những yêu cầu phát triển của nền kinh tế thì mọi hoạt động của nền kinh tế không thể trôi chảy được. Pháp luật có nhiệm vụ tạo lập môi trường pháp lý cho mọi hoạt động sản xuất kinh doanh tiến hành thuận lợi và đạt hiệu quả kinh tế cao, là cơ sở để giải quyết khiếu nại khi có tranh chấp xảy ra. Môi trường pháp lý cho hoạt động tín dụng của ngân hàng nói riêng và cho hoạt động của các doanh nghiệp trong nền kinh tế nói chung là một nhân tố rất quan trọng ảnh hưởng tới khả năng phát sinh nợ quá hạn. Hệ thống pháp luật quốc gia với các bộ luật và văn bản dưới luật chưa được đầy đủ, đồng bộ, hợp lý sẽ không đảm bảo môi trường cạnh tranh lành mạnh cho các hoạt động kinh tế, là nguyên nhân trực tiếp dẫn đến rủi ro trong sản xuất kinh doanh của các doanh nghiệp, gây nên các khoản nợ quá hạn cho ngân hàng. Như vậy, pháp luật có vị trí hết sức quan trọng đối với hoạt động ngân hàng nói chung và chất lượng tín dụng trung - dài hạn nói riêng.

d. Chính sách tín dụng

Chính sách tín dụng là kim chỉ nan đảm bảo cho hoạt động tín dụng đi đúng quỹ đạo, nó có ý nghĩa quyết định đến sự thành bại của mọi ngân hàng. Một chính sách tín dụng đúng đắn sẽ thu hút được nhiều ngân hàng, đảm bảo khả năng sinh lời của hoạt động tín dụng trên cơ sở phân tán rủi ro, tuân thủ pháp luật, đường lối chính sách của nhà nước và đảm bảo công bằng xã hội. Ngược lại, nếu chính sách tín dụng không hợp lý, chồng chéo sẽ gây khó khăn cho ngân hàng khi thực hiện nghiệp vụ tín dụng. điều đó có nghĩa là chất lượng tín dụng trung - dài hạn phụ thuộc vào việc xây dựng chính sách tín dụng của ngân hàng có đúng đắn hay không.

e. Môi trường tự nhiên

Môi trường tự nhiên có một ảnh hưởng không nhỏ tới chất lượng tín dụng của ngân hàng nói chung đặc biệt là tín dụng trung - dài hạn nói riêng bởi vì thiên tai là một yếu tố bất khả kháng, chúng ta không thể dự đoán một cách chắc chắn là khi nào những thiên tai như bão lũ lụt, hạn hán, hoả hoạn, dịch bệnh…sẽ xảy ra và mức độ ảnh hưởng, thiệt hại của chúng là như thế nào. Thông thường khi thiên tai xảy ra, nó thường gây thiệt hại rất lớn cho các ngành sản xuất, dịch vụ, gây ra các biến động xấu ngoài dự kiến trong mối quan hệ tín dụng giữa ngân hàng và các khách hàng của mình làm cho vốn của ngân hàng đầu tư vào các doanh nghiệp sẽ ít nhiều bị ảnh hưởng và dẫn tới rủi ro làm giảm chất lượng tín dụng.

Các nhân tố chủ quan

a. Về phía khách hàng

- Năng lực của khách hàng

Không một khách hàng nào khi đi vay lại không muốn món vay đem lại hiệu quả nhưng nhiều khi do năng lực có hạn nên họ không thể thực hiện được ý đồ của mình. Do hạn chế về khả năng, họ không dự đoán đúng những biến động lên xuống của nhu cầu thị trường hoặc do yếu kém trong quản lý, trong việc giới thiệu, quảng cáo sản phẩm mà hoạt động của doanh nghiệp không thể phát triển hoặc do thiếu kinh nghiệm trên thương trường mà doanh nghiệp dễ dàng bị gục ngã trong cạnh tranh… Tất cả những điều đó khiến cho chất lượng tín dụng bị ảnh hưởng ngoài ý muốn của cả ngân hàng lẫn khách hàng.

- Sự trung thực của khách hàng

Nếu khách hàng trung thực, sử dụng vốn vay đúng mục đích thì xác suất xảy ra rủi ro sẽ giảm đi đáng kể vì tính khả thi của dự án cũng đã được ngân hàng thẩm định một cách kỹ càng trước khi ra quyết định cho vay. Nhưng việc sử dụng vốn vay sai mục đích của khách hàng đã góp phần không nhỏ vào việc đổ bể của các tổ chức tín dụng.

Chẳng hạn như sử dụng vốn vay đầu tư vào tài sản cố định, vào bất động sản, sau đó các tài sản này bị sụt giá dẫn đến việc doanh nghiệp không trả được nợ cho ngân hàng. Các doanh nghiệp còn chiếm dụng vốn lẫn nhau dẫn đến các doanh nghiệp làm ăn nghiêm chỉnh gặp khó khăn trong việc trả nợ ngân hàng.

- Rủi ro trong công việc kinh doanh của khách hàng

Rủi ro trong kinh doanh của doanh nghiệp sẽ xảy ra nếu việc tính toán triển khai dự án đầu tư sản xuất, kinh doanh của doanh nghiệp trong khoa học, không thực hiện kỹ càng… Tuy nhiên trong một số trường hợp cho dù phương án sản xuất kinh doanh của người đi vay đã được tính toán một cách chi tiết, khoa học, chính xác đến mức tối đa thì công việc đầu tư vẫn luôn chứa đựng khả năng xảy ra rủi ro do những thay đổi bất ngờ, ngoài ý muốn và bất khả kháng của các điều kiện sản xuất kinh doanh, gây tác động xấu đến công việc làm ăn, mang lại rủi ro cho doanh nghiệp. Ví dụ các thiệt hại doanh nghiệp phải gánh chịu do sự biến động của thị trường cung cấp như: khi giá cả nguyên vật liệu biến động tăng vọt làm tăng giá thành công xưởng của sản phẩm, nếu giá bán của sản phẩm không thay đổi nó sẽ làm cho thu nhập tạo ra trên một sản phẩm giảm, làm giảm tổng lợi nhuận được của cả dự án, ảnh hưởng xấu tới việc trả nợ ngân hàng. Nếu đảm bảo thu nhập của mình, doanh nghiệp nâng giá bán của sản phẩm lên thì điều này sẽ làm cho việc tiêu thụ sản phẩm gặp khó khăn, khả năng thu hồi vốn sản xuất bị chậm trễ, dễ dàng vi phạm việc trả nợ ngân hàng về mặt thời hạn.

b. Về phía ngân hàng

Công tác thẩm định

Tín dụng trung - dài hạn được tiến hành chủ yếu dựa trên các dự án đầu tư.

Muốn xem xét dự án có đủ độ tin cậy để có thể cho vay được hay không, ngân hàng cần tiến hành thẩm định dự án đầu tư.

 Thẩm định dự án đầu tư

Thẩm định dự án đầu tư là việc tổ chức, xem xét một cách khách quan, khoa học và toàn diện các nội dung cơ bản có ảnh hưởng đến công cuộc đầu tư để ra quyết định đầu tư và cho phép đầu tư.

Mục đích của việc thẩm định dự án đầu tư là nhằm giúp ngân hàng rút ra kết luận chính xác về tính khả thi, hiệu quả kinh tế, khả năng trả nợ và những rủi ro có thể xảy ra của dự án để đưa ra quyết định cho vay hoặc từ chối cho vay.

Thông qua công tác thẩm định, ngân hàng sẽ phát hiện, bổ sung thêm những giải pháp nhằm nâng cao tính khả thi của dự án đồng thời làm cơ sở để xác định số tiền cho vay, thời gian cho vay, mức thu nợ hợp lý, tạo điều kiện thuận lợi cho doanh nghiệp hoạt động có hiệu quả.

Thẩm định tín dụng một cách kỹ càng, đúng quy trình thẩm định sẽ góp phần giảm được những rủi ro của tín dụng trung - dài hạn, giúp ngân hàng thu được lợi nhuận và đảm bảo tính ổn định của các khoản vay. Công tác thẩm định tập trung ở hai nội dung:

+ Thẩm định toàn diện các nội dung của luận chứng kinh tế, kỹ thuật, báo cáo kinh tế của các dự án tiền khả thi.

+ Thẩm định toàn diện tình hình sản xuất kinh doanh, tình hình tài chính của doanh nghiệp.

Bước đầu tiên của thẩm định dự án là phải thu thập thông tin sau đó sẽ tiếp đến tiến hàng phân tích những thông tin đó. Những thông tin thu thập phải đồng bộ, từ nhiều nguồn khác nhau như:

- Thẩm định về phương diện thị trường:

+ Kiểm tra cân đối cung cầu về sản phẩm của dự án, tuỳ theo phạm vi tiêu thụ sản phẩm ở trong nước hay xuất khẩu:

. Nhu cầu của thị trường, dự báo mức độ gia tăng

. Sản phẩm có khả năng đáp ứng nhu cầu thị trường về cả khối lượng và chất lượng.

. Đánh giá những sản phẩm có khả năng thay thế sản phẩm của dự án trong tương lai, độ bền của nhu cầu sử dụng của sản phẩm thay thế.

. Khả năng đáp ứng các nguồn cung cấp đầu vào: tính ổn định và tính thường xuyên của nguồn cung ứng.

+ Căn cứ vào khả năng cạnh tranh của doanh nghiệp về sản phẩm:

. Ưu thế tương đối của sản phẩm do dự án sản xuất về: giá thành, chất lượng, mẫu mã, điều kiện lưu thông và tiêu thụ.

. Khả năng và uy tín của doanh nghiệp trong quan hệ thị trường về sản phẩm, kênh phân phối, khả năng nắm bắt thông tin.

. Những con số cụ thể về khả năng tiêu thụ sản phẩm trong quá khứ và tương lai.

- Thẩm định về phương diện kỹ thuật:

+ Xem xét việc lựa chọn địa điểm và mặt bằng xây dựng dự án, việc lựa chọn hình thức đầu tư và công suất của dự án.

+ Khai thác tiềm năng sẵn có và lâu dài, có khả năng đáp ứng được nhu cầu cần thiết, tối ưu hoá hiệu quả của dự án.

+ Nhu cầu về dây chuyền công nghệ và lựa cho thiết bị máy móc, khả năng tìm kiếm, lựa chọn công nghệ thích hợp, kiểm tra tính pháp lý của hợp đồng chuyển giao công nghệ.

+ Thẩm định tiến độ thực hiện của dự án.

- Thẩm định về phương diện tổ chức:

+ Xem xét cơ cấu tài chính: vấn đề về quyền lợi và trách nhiệm được kết nối như thế nào.

+ Năng lực tài chính, quản lý của nhóm điều hành, của nhân viên: có những hoạt động đào tạo trước mắt và lâu dài.

- Thẩm định về mặt tài chính của dự án

Đây chính là vấn đề cốt lõi nhất khi thẩm định dự án đầu tư đối với bất kỳ một ngân hàng nào khi đưa ra quyết định cho vay mà đặc biệt là cho vay trung - dài hạn. Thẩm định về mặt tài chính được coi là sự đảm bảo tối thiểu cho khoản vay sắp cung cấp. Thẩm định tài chính bao gồm các nội dung chính là:

+ Vốn xây lắp: thường được tính toán trên cơ sở khối lượng công tác xây lắp và đơn giá xây lắp tổng hợp hay suất vốn đầu tư.

+ Vốn thiết bị: căn cứ vào danh mục thiết bị để kiểm tra giá cả mua và chi phí vận chuyển, bảo quản theo quy định của nhà nước. Đối với những thiết bị được chuyển giao công nghệ thì tính gồm cả chi phí chuyển giao công nghệ.

+ Vốn kiến thiết cơ bản khác: cần tính tới nhu cầu vốn lưu động ban đầu và nhu cầu bổ sung vốn lưu động và những khoản mục chi phí cần thiết khác.

Dựa trên những tính toán cơ bản thì chủ dự án có trách nhiệm bỏ một phần vốn tự có của mình vào tổng khoản vay và đó được coi là điều kiện cần đảm bảo về uy tín và độ an toàn, phòng tránh rủi ro của khoản tín dụng trung - dài hạn.

- Tiến độ bỏ vốn đầu tư: có ý nghĩa rất quan trọng, đặc biệt là đối với những công trình có thời gian xây dựng dài, cần thiết phải phân bổ tiến độ bỏ vốn theo giai đoạn thích hợp để tạo điều kiện cho việc điều hành vốn của ngân hàng.

- Yếu tố quyết định trực tiếp cho việc lựa chọn cho vay hay không chính là khả năng sinh lợi của dự án vì ngân hàng cũng là một đơn vị sản xuất kinh doanh nên họ cũng phải quan tâm tới lợi nhuận của dự án. Vì vậy, trước khi bỏ vốn đầu tư, khách hàng và ngân hàng thường tiến hành thẩm định tính khả thi của dự án qua một số chỉ tiêu sau:

+ Khả năng thu nhập của dự án trên doanh thu và chi phí vận hành hàng năm của dự án

Doanh thu thuần = Doanh thu toàn bộ - Thuế VAT

Nếu tỷ suất lợi nhuận của dự án > lãi suất tiền gửi thì nên đầu tư

+ Thời gian hoàn vốn: là số năm mà dự án cần thiết phải hoạt động để tổng số lợi nhuận và khấu hao thu được bù đắp số vốn đầu tư bỏ ra ban đầu.

Thời gian hoàn vốn phản ánh hiệu quả của đầu tư, thời gian hoàn vốn càng nhanh thì hiệu quả đầu tư càng có hiệu quả.

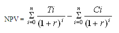
+ Giá trị hiện tại ròng (NPV): cho ta biết quy mô của thu nhập từ dự án trong suốt quá trình hoạt động từ khi khởi đầu cho đến khi kết thúc.

Trong đó:

n: số năm

r: tỷ lệ chiết khấu

Ti: khoản thu của dự án ở năm thứ i

Ci: khoản chi cho đầu tư ở năm thứ i

Ngân hàng cho vay khi NPV > 0 vì khi đó dự án có tính khả thi, doanh nghiệp sẽ có lãi và có thể trả nợ ngân hàng.

+ Chỉ tiêu suất thu hồi nội bộ (IRR)

Suất thu hồi nội bộ là lãi suất chiết khấu mà tương ứng với nó giá trị của NPV = 0

Suất thu hồi nội bộ là lãi suất lớn nhất mà dự án có thể chịu đựng được. Dự án có tính khả thi khi IRR > lãi suất vay dự án vì khi đó doanh nghiệp vừa trả được nợ ngân hàng và vừa có lãi.

Ngoài các công tác thẩm định nêu trên, ngân hàng còn phải thẩm định độ nhạy của dự án đối với sự thay đổi của các yếu tố, lãi suất tỷ giá, xu thế biến động của nền kinh tế…

Hơn nữa ngân hàng còn phải tiến hành thẩm định khách hàng vay vốn bao gồm: thu nhập và phân tích tài liện trong hồ sơ cho vay, phân tích tài chính khách hàng: phân tích tình hình tài chính qua các năm, phân tích các chỉ số tác nhân chung để đánh giá doanh nghiệp… và đưa ra đánh giá, kết luận tổng quát về tình hình tài chính, sản xuất kinh doanh của khách hàng.

Tóm lại, do đặc điểm của tín dụng trung - dài hạn là thời gian dài, độ rủi ro cao nên công tác thẩm định theo đúng và đầy đủ các trình tự nêu trên thì sẽ góp phần nâng cao chất lượng món vay và đảm bảo cho sự an toàn của bản thân ngân hàng.

Chính sách tín dụng

Chính sách tín dụng của một ngân hàng là kim chỉ nan cho hoạt động tín dụng của ngân hàng đó. Bên cạnh việc phải phù hợp với đường lối phát triển của nhà nước thì chính sách tín dụng còn phải đảm bảo kết hợp hài hoà quyền lợi của người gửi tiền, người đi vay và quyền lợi của chính bản thân ngân hàng. Chính sách tín dụng phải tạo ra sự công bằng, không những phải đảm bảo an toàn cho hoạt động của ngân hàng mà còn phải đảm bảo đủ sức hấp dẫn đối với khách hàng. Một chính sách tín dụng đồng bộ, thống nhất và đầy đủ, đúng đắn sẽ xác định phương hướng đúng đắn cho cán bộ tín dụng. Ngược lại, một chính sách tín dụng không đầy đủ, đúng đắn và thống nhất sẽ tạo ra định hướng lệch lạc cho hoạt động tín dụng, dẫn đến việc cấp tín dụng không đúng đối tượng tạo kẽ hở cho người sử dụng vốn không đem lại hiệu quả kinh tế, dẫn đến rủi ro tín dụng.

Ví dụ về chính sách lãi suất, khi lãi suất cho vay quá cao thì khách hàng sẽ không đến vay ngân hàng, ngân hàng sẽ bị ứ đọng vốn gây một hiệu quả tồi tệ đến hoạt động của ngân hàng. Ngược lại, nếu lãi suất cho vay quá thấp thì sẽ có rất nhiều khách hàng đến vay và lúc này ngân hàng khó có khả năng đáp ứng hết khả năng về vốn trung - dài hạn cho khách hàng vì hiện nay tỷ trọng khoản tiền gửi trung - dài hạn so với tổng nguồn vốn huy động của ngân hàng là không lớn. Mặt khác, lãi suất cho vay thấp dẫn tới việc ngân hàng không bù đắp được việc phải trả lãi tiền gửi và trả lãi suất tiền gửi…

Chất lượng nhân sự

Con người là yếu tố quyết định đến sự thành bại trong quản lý vốn tín dụng nói riêng cũng như trong hoạt động của ngân hàng nói chung. Việc tuyển chọn sự có đạo đức nghề nghiệp tốt, có tinh thần trách nhiệm, tâm huyết với nghề, giởi chuyên môn, am hiểu và có kiến thức phong phú về thị trường đặc biệt trong lĩnh vực tham gia đầu tư vốn, năm vững những văn bản pháp luật có liên quan đến hoạt động tín dụng, có năng lực phân tích và xử lý dự án xin vay, đánh giá tài sản thế chấp, giám sát số tiền cho vay ngay từ khi cho vay đến khi thu hồi được nợ hoặc xử lý xong món nợ theo quy định của ngân hàng… sẽ giúp cho ngân hàng có thể ngăn ngừa được những sai phạm có thể xảy ra khi thực hiện chi kỳ khép kín của một khoản tín dụng. Tuy nhên đối với những cán bộ không được đào tạo đầy đủ, không am hiểu về ngành kinh doanh mà mình đang tài trợ, trong khi ngân hàng không có đủ các số liệu thống kê, các chỉ tiêu để phân tích, so sánh, đánh giá vài trò vị trí của doanh nghiệp trong ngành, khả năng thị trường hiện tại và tương lai, chu kỳ, vòng đời sản phẩm … dẫn đến việc xác định sai hiệu quả của dự án xi vay làm rủi ro tín dụng của ngân hàng.

Công tác tổ chức của ngân hàng

Công tác tổ chức không chỉ tác động tới chất lượng tín dụng mà còn tác động tới mọi hoạt động của ngân hàng. Nếu công tác tổ chức không khoa học sẽ làm ảnh hưởng tới thời gian ra quyết định đối với món vay, không đáp ứng kịp thời các yêu cầu của khách hàng, không theo dõi sát sao được công việc.

Sự phân công công việc nếu không hợp lý, khoa học sẽ dẫn đến sự không rõ ràng, chồng chéo khiến cho các cán bộ tín dụng ỷ lại, thiếu trách nhiệm đối với công việc của mình. Công tác tổ chức ở đây cũng đề cập tới vấn đề giao việc đúng người, đúng việc. Mỗi một cán bộ cần được giao cho công việc phù hợp để có thể phát huy hết khả năng và giữa các bộ phận cần có sự phối hợp nhịp nhàng, chặt chẽ để công việc tiến hành nhanh chóng, chính xác. Nếu được tổ chức tốt, các công việc đối với một món vay sẽ được thực hiện tuần tự, chặt chẽ, vừa đảm bảo về mặt thời gian vừa không có sự sơ hở nên sẽ làm cho chất lượng của món vay được nâng cao.

Thông tin tín dụng

Những thông tin chính xác về khách hàng sẽ giúp ích rất nhiều cho ngân hàng trong những công việc có liên quan đến việc cho vay, theo dõi và quản lý tiền vay. Thông tin càng chính xác, kịp thời, đầy đủ và toàn diện thì công tác tín dụng của ngân hàng càng được thực hiện tốt và các rủi ro sẽ được hạn chế ở mức thấp nhất có thể, chất lượng tín dụng được nâng cao hơn. Tuy nhiên nến thiếu thông tin tín dụng hoặc thông tin tín dụng không chính xác, kịp thời, chưa có danh sách phân loại doanh nghiệp, chưa có sự phân tích đánh giá doanh nghiệp một cách khách quan, đúng đắn sẽ dẫn đến rủi ro tín dụng cao làm giảm chất lượng tín dụng của ngân hàng.