Mục tiêu bài học
Kết thúc chương này, bạn có thể:
- Mô tả về Internet
- Mô tả về HTML
- Viết một tài liệu HTML đơn giản
- Sử dụng siêu liên kết trong tài liệu HTML
- Sử dụng thẻ <META>
- Sử dụng các ký tự đặc biệt trong tài liệu HTML
Giới thiệu
“Internet”,“World Wide Web”, và “Web page” không chỉ còn là các thuật ngữ. Giờ đây, các thuật ngữ này đã trở thành hiện thực. Internet là mạng máy tính lớn nhất trên thế giới, được xem như là mạng của các mạng. World Wide Web là một tập con của Internet. World Wide Web gồm các Web Servers có mặt khắp mọi nơi trên thế giới. Các Web server chứa thông tin mà bất kỳ người dùng nào trên thế giới cũng có thể truy cập được. Các thông tin đó được lưu trữ dưới dạng các trang Web.
Trong phần này, chúng ta sẽ học về Ngôn ngữ đánh dấu siêu văn bản (HTML), đây là một phần quan trọng trong lãnh vực thiết kế và phát triển thế giới Web.
Giới thiệu Internet
Mạng là một nhóm các máy tính kết nối với nhau. Internet là mạng của các mạng. Giao thức TCP/IP (Transmission Control Protocol/Internet Protocol) cung cấp việc kết nối tất cả các máy tính trên thế giới.

World Wide Web là một tập con của Internet. Nó bắt đầu như là đề án nghiên cứu cấp quốc gia tại phòng nghiên cứu CERN ở Thụy Sĩ. Ngày nay, nó cung cấp thông tin cho người dùng trên toàn thế giới.
WWW hoạt động dựa trên 3 cơ chế để đưa các tài nguyên có giá trị đến với người dùng. Đó là:
- Giao thức: Người dùng tuân theo các giao thức này để truy cập tài nguyên trên Web. HyperText Transfer Protocol(HTTP) là giao thức được WWW sử dụng.
- Địa chỉ: WWW tuân theo một cách thức đặt tên thống nhất để truy cập vào các tài nguyên trên Web. URL được sử dụng để nhận dạng các trang và các tài nguyên trên Web.
- HTML: Ngôn ngữ đánh dấu siêu văn bản (HTML) được sử dụng để tạo các tài liệu có thể truy cập trên Web. Tài liệu HTML được tạo ra bằng cách sử dụng các thẻ và các phần tử của HTML. File được lưu trên Web server với đuôi .htm hoặc .html.
Khi bạn sử dụng trình duyệt để yêu cầu một số thông tin nào đó, Web server sẽ đáp ứng các yêu cầu đó. Nó gửi thông tin được yêu cầu đến trình duyệt dưới dạng các trang web. Trình duyệt định dạng thông tin do máy chủ gửi về và hiển thi chúng.

Giới thiệu HTML
Ngôn ngữ đánh dấu siêu văn bản chỉ rõ một trang Web được hiển thị như thế nào trong một trình duyệt. Sử dụng các thẻ và các phần tử HTML, bạn có thể:
- Điều khiển hình thức và nội dung của trang
- Xuất bản các tài liệu trực tuyến và truy xuất thông tin trực tuyến bằng cách sử dụng các liên kết được chèn vào tài liệu HTML
- Tạo các biểu mẫu trực tuyến để thu thập thông tin về người dùng, quản lý các giao dịch .....
- Chèn các đối tượng như audio clip, video clip, các thành phần ActiveX và các Java Applet vào tài liệu HTML
Tài liệu HTML tạo thành mã nguồn của trang Web. Khi được xem trên trình soạn thảo, tài liệu này là một chuỗi các thẻ và các phần tử, mà chúng xác định trang web hiển thị như thế nào. Trình duyệt đọc các file có đuôi .htm hay .html và hiển thị trang web đó theo các lệnh có trong đó.
Theo cú pháp HTML dưới đây sẽ hiển thị thông điệp “My first HTML document”
<HTML>
<HEAD>
<TITLE>Welcome to HTML</TITLE>
</head>
<BODY>
<H3>My first HTML document</H3>
</BODY>
</HTML>
Trình duyệt thông dịch những lệnh này và hiển thị trang web như hình dưới đây

HTML Development
Tài liệu HTML được hiển thị trên trình duyệt. Vậy trình duyệt là gì ? Trình duyệt là một ứng dụng được cài đặt trên máy khách. Trình duyệt đọc mã nguồn HTML và hiển thị trang theo các lệnh trong đó.
Trình duyệt được sử dụng để xem các trang Web và điều hướng.Trình duyệt được biết đến sớm nhất là Mosaic, được phát triển bởi Trung tâm ứng dụng siêu máy tính quốc gia (NCSA). Ngày nay, có nhiều trình duyệt được sử dụng trên Internet. Netscape’s Navigator và Microsoft’s Internet Explorer là hai trình duyệt được sử dụng phổ biến. Đối với người dùng, trình duyệt dễ sử dụng bởi vì nó có giao diện đồ họa với việc trỏ và kích chuột.
Để tạo một tài liệu nguồn,bạn phải cần một trình soạn thảo HTML. Ngày nay, có nhiều trình soạn thảo đang được sử dụng: Microsoft FrontPage là một công cụ tổng hợp được dùng để tạo, thiết kế và hiệu chỉnh các trang Web. Chúng ta cũng có thể thêm văn bản, hình ảnh , bảng và những thành phần HTML khác vào trang. Thêm vào đó, một biểu mẫu cũng có thể được tạo ra bằng FrontPage. Một khi chúng ta tạo ra giao diện cho trang web, FrontPage tự động tạo mã HTML cần thiết. Chúng ta cũng có thể dùng Notepad để tạo tài liệu HTML. Để xem được tài liệu trên trình duyệt bạn phải lưu nó với đuôi là .htm hay .html.
Các lệnh HTML được gọi là các thẻ. Các thẻ này được dùng để điều khiển nội dung và hình thức trình bày của tài liệu HTML. Thẻ mở (“<>”) và thẻ đóng (“</>”), chỉ ra sự bắt đầu và kết thúc của một lệnh HTML.
thẻ HTML được sử dụng để đánh dấu sự bắt đầu và kết thúc của tài liệu HTML
<HTML>
. . .
</HTML>
Chú ý rằng các thẻ không phân biệt chữ hoa và chữ thường, vì thế bạn có thể sử dụng <html> thay cho <HTML>
Thẻ HTML bao gồm:
<ELEMENT ATTRIBUTE = value>
Phần tử: nhận dạng thẻ
Thuộc tính: Mô tả thẻ
Value: giá trị được thiết lập cho thuộc tính
<BODY BGCOLOR = lavender>
Trong ví dụ trên, BODY là phần tử, BGCOLOR(nền) là thuộc tính và “lavender” là giá trị. Khi cú pháp HTML được thực hiện, màu nền cho cả trang được thiết lập là màu “lavender”.
Cấu trúc của một tài liệu HTML
Một tài liệu HTML gồm 3 phần cơ bản:
- Phần HTML: Mọi tài liệu HTML phải bắt đầu bằng thẻ mở HTML <HTML> và kết thúc bằng thẻ đóng HTML </HTML>
<HTML>.... </HTML>
Thẻ HTML báo cho trình duyệt biết nội dung giữa hai thẻ này là một tài liệu HTML
- Phần tiêu đề: Phần tiêu đề bắt đầu bằng thẻ <HEAD> và kết thúc bởi thẻ </HEAD>. Phần này chứa tiêu đề mà được hiển thị trên thanh điều hướng của trang Web. Tiêu đề nằm trong thẻ TITLE, bắt đầu bằng thẻ <TITLE> và kết thúc là thẻ </TITLE>.
Tiêu đề là phần khá quan trọng. Các mốc được dùng để đánh dấu một web site. Trình duyệt sử dụng tiêu đề để lưu trữ các mốc này. Do đó, khi người dùng tìm kiếm thông tin, tiêu đề của trang Web cung cấp từ khóa chính yếu cho việc tìm kiếm.
- Phần thân: phần này nằm sau phần tiêu đề. Phầ̀n thân bao gồm văn bản, hình ảnh và các liên kết mà bạn muốn hiển thị trên trang web của mình. Phần thân bắt đầu bằng thẻ <BODY> và kết thúc bằng thẻ </BODY>
<HTML>
<HEAD>
<TITLE>Welcome to the world of HTML</TITLE>
</HEAD>
<BODY>
<P>This is going to be real fun</P>
</BODY>
</HTML>

Đoạn
Bạn có chú ý đến thẻ <P> trong ví dụ 2 không? Thẻ <P> để trình bày một đoạn
Khi viết một bài báo hay một bài luận, bạn nhóm nội dung thành một loạt các đoạn. Mục đích là nhóm các ý tưởng logic lại với nhau và áp dụng một số định dạng cho nội dung. Trong một tài liệu HTML, nội dung có thể được nhóm thành các đoạn. Thẻ đoạn <P> được sử dụng để đánh dấu sự bắt đầu của một đoạn mới.
<HTML>
<HEAD>
<TITLE>Welcome to HTML</TITLE>
</HEAD>
<BODY BGCOLOR = lavender>
<P>This is going to be real fun
<P> Another paragraph element
</BODY>
</HTML>

Thẻ đóng </P> là không bắt buộc. Thẻ <P> kế tiếp sẽ tự động bắt đầu một đoạn mới.
Các thẻ ngắt
Phần tử <BR> được sử dụng để ngắt dòng trong tài liệu HTML. Thẻ <BR> bổ sung một ký tự xuống dòng tại vị trí của thẻ.
<HTML>
<HEAD>
<TITLE>Welcome to HTML</TITLE>
</HEAD>
<BODY BGCOLOR = lavender>
<P>This is going to be real <BR>fun
<P> Another paragraph element
</BODY>
</HTML>

Chọn canh lề
Thuộc tính
Thuộc tính align gồm các giá trị sau:
Value | Description |
Left | Văn bản được canh lề trái |
Center | Văn bản được canh giữa |
Right | Văn bản được canh phải |
Justify | Văn bản được canh đều hai bên |
Canh lề được mặc định dựa vào hướng của văn bản. Nếu hướng văn bản là từ trái sang phải thì mặc định là trái.
<HTML>
<HEAD>
<TITLE>Learning HTML</TITLE>
</HEAD>
<BODY BGCOLOR=lavender>
<P align = right>This is good fun</P>
</BODY>
</HTML>

Sử dụng thẻ <META>
Phần tiêu đề cũng chứa phần tử META. Phần tử này cung cấp thông tin về trang web của bạn. Nó gồm tên tác giả, tên phần mềm dùng để viết trang đó, tên công ty, thông tin liên lạc .... Phần tử META sử dụng sự kết hợp giữa thuộc tính và giá trị.
Để chỉ Graham Browne là tác giả, người ta sử dụng phần tử META như sau:
<META name="Author" content="Graham Browne">
Tác giả của tài liệu là “Graham Browne”
Thuộc tính http-equiv có thể được sử dụng để thay thế thuộc tính name. Máy chủ HTTP sử dụng thuộc tính này để tạo ra một đầu đáp ứng HTTP (HTTP response header).
Đầu đáp ứng được truyền đến trình duyệt để nhận dạng dữ liệu. Nếu trình duyệt hiểu được đầu đáp ứng này, nó sẽ tiến hành các hành động đặc biệt đối với đầu đáp ứng đó.
<META http-equiv="Expires" content="Mon, 15 Sep 2003 14:25:27 GMT">
sẽ sinh ra một đầu đáp ứng HTTP như sau:
Expires: Mon, 15 Sep 2003 14:25:27 GMT
Do vậy, nếu tài liệu đã lưu lại, HTTP sẽ biết khi nào truy xuất một bản sao của tài liệu tương ứng.
Sử dụng ký tự đặc biệt trong tài liệu HTML
Bạn có thể chèn các ký tự đặc biệt vào văn bản của tài liệu HTML. Để đảm bảo trình duyệt không nhầm chúng với thẻ HTML, bạn phải gán mã định dạng cho các ký tự đặc biệt này.
Ký tự đặc biệt | Mã định dạng | Ví dụ |
Lớn hơn (>) | > |
<HTML>
<HEAD>
<TITLE>Learning HTML</TITLE>
</HEAD>
<BODY>
<CODE>If A > B Then <BR> A = A + 1 </CODE>
<P> The above statement used special characters
</BODY>
</HTML>
|
Nhỏ hơn (<) | < |
<HTML>
<HEAD>
<TITLE>Learning HTML</TITLE>
</HEAD>
<BODY>
<CODE>If A < B Then <BR> A = A + 1
</CODE>
<P> The above statement used special characters
</BODY>
</HTML>
|
Trích dẫn(““) | " |
<HTML>
<HEAD>
<TITLE>Learning HTML</TITLE>
</HEAD>
<BODY>
" To be or not to be ? " That is the question
</BODY>
</HTML>
|
Ký tự “&” | & |
<HTML>
<HEAD>
<TITLE>Learning HTML</TITLE>
</HEAD>
<BODY>
<P> William & Graham went to the fair
</BODY>
</HTML>
|
Sử dụng các siêu liên kết
Siêu liên kết là một phần tử bên trong tài liệu mà liên kết đến một vị trí khác trong cùng tài liệu đó hoặc đến một tài liệu hoàn toàn khác. Chẳng hạn, khi ta kích vào siêu liên kết sẽ nhảy đến liên kết cần đến. Các siêu liên kết là thành phần quan trọng nhất của hệ thống siêu văn bản
Giới thiệu siêu liên kết và URL
Khả năng chính của HTML là hỗ trợ siêu liên kết. Một siêu liên kết, hay nói ngắn gọn là một liên kết, là sự kết nối đến tài liệu hay file khác (đồ họa, âm thanh, video) hoặc ngay cả đến một phần khác trong cùng tài liệu đó. Khi kích vào siêu liên kết, người dùng được đưa đến địa chỉ URL mà chúng ta chỉ rõ trong liên kết.
- Một phần khác trong cùng tài liệu
- Một tài liệu khác
- Một phần trong tài liệu khác
- Các file khác – hình ảnh, âm thanh, trích đoạn video
- Vị trí hoặc máy chủ khác
Các liên kết có thể là liên kết trong hoặc liên kết ngoài
- Liên kết trong là liên kết kết nối đến các phần trong cùng tài liệu hoặc cùng một web site
- Liên kết ngoài là liên kết kết nối đến các trang trên các web site khác hoặc máy chủ khác.

Để tạo siêu liên kết, chúng ta cần phải xác định hai thành phần:
- Địa chỉ đầy đủ hoặc URL của file được kết nối
- Điểm nóng cung cấp cho liên kết. Điểm nóng này có thể là một dòng văn bản, thậm chí là một ảnh.
Khi người dùng kích vào điểm nóng, trình duyệt đọc địa chỉ được chỉ ra trong URL và “nhảy” đến vị trí mới
Mỗi nguồn tài nguyên trên Web có một địa chỉ duy nhất. Ví dụ, 207.46.130.149 là địa chỉ web site của Micorsoft. Giờ đây, để nhớ các con số này rất khó và dễ nhầm lẫn. Vì vậy, người ta sử dụng các URL. URL là một chuỗi cung cấp địa chỉ Internet của web site hay tài nguyên trên World Wide Web.
Định dạng đặc trưng là www.nameofsite.typeofsite.contrycode/"
[trong đó
Nameofsite: tên của site
Typeofsite: kiểu của site
Contrycode: mã nước]
216.239.33.101 có thể được biểu diễn bằng URL là www.google.com
URL cũng nhận biết được giao thức mà site hay tài nguyên được truy nhập. Dạng URL thông thường nhất là “http”, nó cung cấp địa chỉ Internet của một trang Web. Một vài dạng URL khác là “gopher”, nó cung cấp địa chỉ Internet của một thư mục Gopher, và “ftp”, cung cấp vị trí của một tài nguyên FTP trên mạng.
URL cũng có thể tham chiếu đến một vị trí trong một tài nguyên. Ví dụ, bạn có thể tạo liên kết đến một chủ đề trong cùng một tài liệu. Trong trường hợp đó, định danh đoạn được sử dụng ở phần cuối của URL
Định dạng là, giao thức: tên của site / tài liệu chính #định danh đoạn
Có hai dạng URL:
- URL tuyệt đối – là địa chỉ Internet đầy đủ của trang hoặc file, bao gồm giao thức, vị trí mạng, đường dẫn tùy chọn và tên file.
http://www.microsoft.com là một địa chỉ URL tuyệt đối.
- URL tương đối – là một URL có một hoặc nhiều phần bị thiếu. Trình duyệt lấy thông tin bị thiếu từ trang chứa URL đó.
Nếu giao thức bị thiếu, trình duyệt sử dụng giao thức của trang hiện thời.
Sử dụng siêu liên kết
Thẻ <A> được sử dụng để xác định văn bản hay ảnh nào sẽ dùng làm siêu liên kết trong tài liệu HTML. Thuộc tính HREF (tham chiếu siêu văn bản) được dùng để chỉ địa chỉ hay URL của tài liệu hoặc file được liên kết.
Cú pháp của HREF là:
<A HREF = protocol://host.domain:port/path/filename>Hypertext</A>
Trong đó,
Giao thức – Đây là loại giao thức. Một số giao thức thường dùng:
- http – giao thức truyền siêu văn bản
- telnet – mở một phiên telnet
- gopher – tìm kiếm file
- ftp – giao thức truyền file
- mailto – gửi thư điện tử
Host.domain – Đây là địa chỉ Internet của máy chủ
Port - Cổng phục vụ của máy chủ đích
HyperText – Đây là văn bản hay hình ảnh mà người dùng cần nhấp vào để kích hoạt liên kết
Liên kết đến những tài liệu khác
Giả sử có hai tài liệu HTML trên đĩa cứng cục bộ, Doc1.htm và Doc2.htm. Để tạo một liên kết từ Doc1.html đến Doc2.htm
<HTML>
<HEAD>
<TITLE> Using links</TITLE>
</HEAD>
<BODY>
<BR><BR>
<P> This page is all about creating links to documents.
<A HREF = Doc2.html>Click here to view document 2</A>
</BODY>
</HTML>

Khi người dùng “nhảy” đến một tài liệu khác, bạn nên cung cấp cách để quay trở lại trang chủ hoặc định hướng đến một file khác.
<HTML>
<HEAD>
<TITLE> Document 2</TITLE>
</HEAD>
<BODY>
<BR><BR>
<P> This is document 2. This page is displayed when you click the hyperlink in Document 1
<BR><BR>
<A HREF= Doc1.html>Back Home</A>
</BODY>
</HTML>

Chú ý là các liên kết được gạch chân. Trình duyệt tự động gạch chân các liên kết. Nó cũ̃ng thay đổi hình dáng con trỏ chuột khi người sử dụng di chuyển chuột vào liên kết.
Ở ví dụ trên, các file nằm trong cùng một thư mục, vì vậy chỉ cần chỉ ra tên file trong thông số HREF là đủ. Tuy nhiên, để liên kết đến các file ở thư mục khác, cần phải cung cấp đường dẫn tuyệt đối hay đường dẫn tương đối
Đường dẫn tuyệt đốichỉ ra đường dẫn đầy đủ từ thư mục gốc đến file.
C:\mydirectory\html examples\ Doc2.htm
Đường dẫn tương đối chỉ ra vị trí liên quan của file với vị trí file hiện tại.
Nếu thư mục hiện hành là mydirectory thì đường dẫn sẽ là
<A HREF= "..\Doc3.htm">Next page</A>
Vì vậy, nếu muốn liên kết các tài liệu không liên quan với nhau thì ta nên dùng đường dẫn tuyệt đối. Tuy nhiên, nếu ta có một nhóm tài liệu có liên quan với nhau, chẳng hạn phần trợ giúp trong HTML, thì ta nên sử dụng đường dẫn tương đối cho các tài liệu trong nhóm và đường dẫn tuyệt đối cho các tài liệu không liên quan trực tiếp đến chủ đề. Khi đó người dùng có thể cài đặt phần trợ giúp này trong thư mục mình chọn và nó vẫn hoạt động.
Liên kết đến các phần trong cùng một tài liệu
Thẻ neo <A> (anchor) được sử dụng để người dùng có thể “nhảy” đến những phần khác nhau của một tài liệu. Ví dụ, bạn có thể hiển thị nội dung của trang Web như một loạt các liên kết. Khi người dùng kích vào một đề tài nào đó thì các chi tiết nằm ở một phần khác của tài liệu được hiển thị.
Kiểu liên kết này gọi là “named anchor” bởi vì thuộc tính NAME được sử dụng để tạo các liên kết này
<A NAME = "marker">Topic name</A>
Bạn không phải sử dụng bất kỳ văn bản nào để đánh dấu điểm neo
Để dùng, ta sử dụng vạch dấu (marker) trong thông số HREF như sau
<A HREF= "#marker">Topic name</A>
Dấu # ở trước tên của siêu liên kết để báo cho trình duyệt biết rằng liên kết này liên kết đến một điểm được đặt tên trong tài liệu. Khi không có tài liệu nào được chỉ ra trước ký tự #, trình duyệt hiểu rằng liên kết này nằm trong cùng tài liệu.
<HTML>
<HEAD>
<TITLE>Using Links</TITLE>
</HEAD>
<BODY>
<A HREF = #Internet>Internet</A>
<BR><BR>
<A HREF = #HTML>Introduction to HTML</A>
<BR><BR>
<A HREF = #Consistency>Unity and Variety</A>
<BR><BR>
<A name = Internet>Internet</A>
<BR>
<P> The Internet is a network of networks. That is, computer networks are linked to other networks, spanning countries and today the globe. The TCP/IP transfer protocol provides the bindings that connect all these computers the world over.
</P>
<A name = HTML>Introduction to HTML</A>
<BR>
<P> Hyper Text Markup Language is the standard language that the Web uses for creating and recognizing documents. Although not a subset of, it is loosely related to the Standard Generalized Markup Language (SGML). SGML is a method for representing document formatting languages.
</P>
<A name = Consistency>Unity and Variety</A>
<BR>
<P> A basic rule is that of unity and variety. That is, everything should fit together as a unit, but at the same time there is enough variety to keep things interesting. Consistency creates and reinforces the unique identity of a site. Colors, fonts, column layout and other design elements should be consistent throughout every section of the site.
</BODY>
</HTML>


Liên kết đến một điểm xác định ở một tài liệu khác
Bây giờ chúng ta đã biết cách sử dụng các vạch dấu trong cùng một tài liệu, hãy thử “nhảy” đến một vị trí trên một tài liệu khác.
Để “nhảy” đến một điểm trên tài liệu khác, chúng ta cần phải chỉ ra tên của tài liệu khi chúng ta tạo vạch dấu. Trước tiên trình duyệt sẽ đọc tên tài liệu và mở tài liệu đó. Sau đó nó sẽ đọc vạch dấu và di chuyển đến điểm được đánh dấu.
<HTML>
<HEAD>
<TITLE>Main document</TITLE>
</HEAD>
<BODY>
<A HREF=Chapter18.html#Internet>Internet</A>
<BR>
<BR>
<A HREF= Chapter18.html#HTML>Introduction to HTML</A>
<BR>
<BR>
<A HREF=Chapter18.html#Consistency>Unity and Variety</A>
</BODY>
</HTML>

Chú ý sự giống nhau giữa hình 1.13 vào hình 1.15
Sử dụng e-mail
Nếu muốn người sử dụng gửi được e-mail, chúng ta có thể đưa một đặc tính vào trong trang Web và cho phép họ gửi e-mail từ trình duyệt. Tất cả những gì chúng ta cần làm là chèn giá trị mailto vào trong thẻ liên kết.
<A HREF="mailto:thisperson@mymail.com">
Điều hướng quanh Web site
Dù web site có lôi cuốn đến đâu, nếu nó không có một lược đồ điều hướng đơn giản thì người dùng cũng sẽ mất phương hướng ngay. Một số trong số họ có thể sẽ không bao giờ quay lại. Lược đồ điều hướng trong mỗi site là khác nhau. Tuy nhiên có một số nguyên tắc cơ bản mà bạn cần nhớ:
- Xác định nội dung của web site
- Tạo một lược đồ điều hướng để giúp người dùng đi đến phần cần đến một cách nhanh chóng
- Cung cấp các chức năng tìm kiếm thông tin
Có nhiều cách để tổ chức một web site
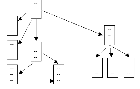
- Trình bày tuyến tính – Cách này theo cấu trúc tuyến tính. Có một chuỗi liên kết liên tục giữa các trang. Mỗi trang có liên kết đến trang trước và trang sau. Trang cuối có liên kết đến trang đầu. Định dạng này được dùng khi chúng ta muốn trình bày thông tin liên tục. Ví dụ, các chương trong cuốn sách hoặc các slide của một bài trình bày mà yêu cầu người dùng đọc thông tin theo trình tự liên tiếp nhau.
- Trình bày theo phân cấp: Đây là cách trình bày thông thường nhất được sử dụng trong thiết kế Web. Trang chủ liên kết với nhiều trang khác. Người dùng có thể chọn một liên kết và “nhảy” đến trang cần đến. Mỗi trang đều có liên kết về trang chủ.

- Bản đồ ảnh – Một số người thấy cách trình bày trực quan thì dễ hiểu hơn. Vì vậy, bản đồ ảnh hay bản đồ site được đưa vào các trang chủ. Khi người dùng kích vào các điểm nóng thì tài liệu liên quan được hiển thị.
Khi đã quyết định một lược đồ điều hướng, đây là lúc để thiết kế tài liệu. Có một số nguyên tắc mà bạn cần ghi nhớ:
- Siêu liên kết nên rõ ràng. Từ nên được gạch chân và có màu xanh, bởi vì trên Web, màu xanh được quy ước là siêu liên kết. Siêu liên kết thường xuất hiện ở cuối trang. Nếu chúng xuất hiện ở giữa đoạn văn bản, có thể làm người đọc không tập trung vào đề tài.
- Các trang con – nên có một thanh menu hoặc thanh điều hướng, nếu không người đọc có thể không thấy các trang chính. Nếu người dùng kích vào một biểu tượng bất kỳ trên thanh điều hướng thì họ sẽ nhảy từ trang hiện thời đến trang mới
- Luôn có một bảng mục lục để người dùng nhảy sang một đề tài nào đó. Bảng mục lục (TOC) được hiển thị ở cuối trang. Người dùng có thể chọn một đề tài nào đó để nhảy đến trang cần đến
- Luôn có nút “Back” và “Forward” trong trang để người dùng có thể điều hướng đến trang cần đến. Trình duyệt có cung cấp các chọn lựa này, nhưng nó sử dụng các trang trong danh sách history mà có thể không phải là các trang trong Web site.
Tóm tắt bài học:
- Internet là mạng của các mạng
- Giao thức TCP/IP cung cấp các liên kết mà kết nối tất cả các máy tính trên thế giới
- WWW là một tập con của Internet
- Ngôn ngữ đánh dấu siêu văn bản (HTML) được dùng để tạo ra tài liệu có thể truy cập trên Web
- Trình duyệt đọc mã nguồn HTML và hiển thị trang theo các lệnh trong đó.
- Lệnh HTML được gọi là thẻ. Thẻ được sử dụng để điều khiển nội dung và hình thức của tài liệu HTML
- Trong một tài liệu HTML, nội dung có thể được nhóm vào các đoạn. Thẻ đoạn <P> được dùng đển đánh dấu bắt đầu một đoạn mới
- Phần tử <BR> được dùng để ngắt dòng trong tài liệu HTML
- Thuộc tính canh lề được sử dụng để canh lề cho các phần tử HTML trong trang Web
- Phần tử META cung cấp thông tin trên trang web. Nó sử dụng sự kết hợp giữa thuộc tính và giá trị.
- Siêu liên kết là một phần tử bên trong tài liệu mà liên kết đến một vị trí khác trong cùng tài liệu đó hoặc đến một tài liệu hoàn toàn khác
- Liên kết trong là một liên kết đến một phần bên trong cùng một tài liệu hoặc trong cùng một web site
- Liên kết ngoài là những liên kết đến các trang web trên các web site hoặc các máy chủ khác
- Thẻ neo <A> được sử dụng để xác định văn bản hay hình ảnh nào sẽ dùng làm siêu liên kết trong tài liệu HTML. Thuộc tính HREF (tham chiếu siêu văn bản) được dùng để chỉ địa chỉ hay URL của tài liệu hoặc file được liên kết.
Ôn tập
- Điền vào chỗ trống:
- _____WWW________là một tập con của Internet
- Giao thức nối các mạng trên Internet gọi là ____HTP/IP_____.
- __HTML___________ là ngôn ngữ chuẩn mà Web dùng để tạo và nhận dạng các tài liệu
- Lệnh HTML được gọi là __thẻ___________.
- </HTML>______ được dùng để đánh dấu sự kết thức của tài liệu HTML
- ___nội dung của tài liệu______ là các phần tử HTML xuất hiện trong BODY
- __thẻ neo <A>________ chỉ một liên kết đến site hay trang web khác
- URL là viết tắt của ____Uniform Resoun Location_________.
- Một __________ được sử dụng để đánh dấu một phần trong một tài liệu HTML
- Các câu sau đây Đúng hay Sai:
- SGML là cách trình bày các ngôn ngữ định dạng văn bản
- Trình duyệt được sử dụng để tạo tài liệu HTML
- Các thẻ HTML phân biệt chữ hoa và chữ thường sai
- Phần tử META được dùng để xác định thông tin về tài liệu HTML
- Phần tử P mặc định bắt đầu một dòng mới
- Một liên kết ngoài là liên kết đến một phần trong tài liệu trên web site khác
- URL tương đối xác định đường dẫn đầy đủ đến tài nguyên trên Web sai
- Giao thức gopher được sử dụng để tìm kiếm file trên Web
- Bạn có thể tạo các liên kết sử dụng thuộc tính id của một phần tử
Tự thực hành
- Tạo một trang Web với tiêu đề là “Using Paragraphs”. Tạo hai đoạn văn bản. Hiển thị một tiêu đề mức 5 giữa hai đoạn
- Tạo hai tài liệu HTML, a.htm và b.htm. Tạo một liên kết từ a.htm đết b.htm. Tạo một liên kết trở lại từ b.htm về a.htm. Tạo một tài liệu HTML với văn bản sau:
- Internet
- The Internet is a network of networks. That is, computer networks are linked to other networks, spanning countries. The TCP/IP transfer protocol provides the bindings that connect all these computers the world over.
- Layout
- A web page is not a printed page. That is, the guidelines that are applied to print may not apply to a web page. Avoid making the reader scan too much of the screen while reading the page. After a while it puts a strain on the eyes, and the reader may lose interest. Text should be contained within a few inches width.
- Linear layout
- Linear layout follows a linear structure. There is a sequential link between the pages. Each page has a link to the previous and next page. The last page has a link to the first page. This format is used when you are presenting sequential information. For example, chapters of a book or slides of a presentation which require the user to read the information in sequential order.
- Pathnames
- Absolute pathnames specify the complete path to the file from the root directory. For example, C:\mydirectory\ htmlexamples\Doc2.htm.
- Relative pathnames specify the location of the file relative to the location of the current file. For example, if the current directory is mydirectory, then the pathname will be<A HREF= “..\Doc3.htm”>Next page</A>
- Tạo liên kết trong đến các chủ đề trong tài liệu