Kinh tế sử dụng các yếu tố nguồn lực trong nông nghiệp

Kinh tế sử dụng các yếu tố nguồn lực trong nông nghiệp

Vai trò các yếu tố nguồn lực trong tăng trường và phát triển nông nghiệp

Bản chất và đặc điểm của các yếu tố nguồn lực trong nông nghiệp.

Trong quá trình sản xuất ra của cải vật chất và dịch vụ cho xã hội, con người đã sử dụng một lượng nhất định của các yếu tố về sức lao động, tư liệu lao động và đối tượng lao động được kết hợp với nhau theo một công nghệ nhất định, với một không gian và thời gian cụ thể. Các yếu tố tham gia vào quá trình sản xuất không ngừng được tái sản xuất mở rộng nhằm tạo ra ngày càng nhiều của cải vật chất và dịch vụ. Tất cả những tài nguyên hiện đang được sử dụng hoặc có thể được sử dụng vào sản xuất của cải vật chất hoặc dịch vụ được gọi là những yếu tố nguồn lực. Như vậy, về mặt kinh tế các yếu tố nguồn lực của sản xuất là phạm trù kinh tế dùng để chỉ những nguồn tài nguyên tự nhiên, kinh tế và xã hội đã, đang và sẽ được sử dụng cho hoạt động kinh tế để tạo ra của cải vật chất hay dịch vụ đáp ứng yêu cầu xã hội nhất định.

Trong nông nghiệp, các yếu tố nguồn lực có thể tồn tại dưới hình thái vật chất, bao gồm: đất đai, máy móc, thiết bị, kho tàng, nguyên nhiên vật liệu, giống cây trồng, vật nuôi, phân bón, thức ăn gia súc, sức lao động với kỹ năng và kinh nghiệm sản xuất nhất định.v.v Nguồn lực sản xuất của nông nghiệp cũng có thể tồn tại dưới hình thái giá trị. Người ta sử dụng đồng tiền làm thước đo để định lượng và quy đổi mọi nguồn lực khác nhau về hình thái vật chất được sử dụng vào nông nghiệp thành một đơn vị tính toán thống nhất.

Xét về hình thái hiện vật, người ta có thể phân nhóm các yếu tố nguồn lực trong nông nghiệp như sau:

Nhóm các yếu tố liên quan đến nguồn nhân lực của nông nghiệp, bao gồm số lượng và chất lượng sức lao động đang và sẽ được sử dụng vào nông nghiệp. Nhóm này còn bao gồm cả những yếu tố về tri thức, kỹ năng, kinh nghiệm, truyền thống, bí quyết công nghệ v.v.

Nhóm các yếu tố nguồn lực liên quan đến phương tiện cơ khí, như: Nguồn năng lượng, bao gồm cả nguồn năng lượng của động lực máy móc và động lực gia súc. Trong giai đoạn đầu của công nghiệp hoá, động lực gia súc chiếm tỷ trọng lớn và giảm dần cùng với sự thay thế của động lực máy móc ở giai đoạn phát triển cao của công nghiệp hoá.

Máy công tác và những công cụ nói chung.

Hệ thống kết cấu hạ tầng kỹ thuật, bao gồm: hệ thống thuỷ lợi, hệ thống đường giao thông, kho tàng, các cơ sở chế biến nông sản.

Nhóm các yếu tố nguồn lực sinh học, bao gồm vườn cây lâu năm, súc vật làm việc, súc vật sinh sản,v,v.

Nhóm các yếu tố nguồn lực liên quan đến các phương tiện hoá học phục vụ nông nghiệp; phân bón hoá học, thuốc trừ sâu, thuốc thú y, các chất kích thích v.v.

Điều cần nhấn mạnh là các yếu tố nguồn lực trong nông nghiệp là những tài nguyên quý hiếm và có hạn. Những đặc điểm của các yếu tố nguồn lực sử dụng vào nông nghiệp gắn liền với những đặc điểm của sản xuất nông nghiệp và biểu hiện trên các mặt sau:

Dưới tác động của yếu tố đất đai và thời tiết -khí hậu đa dạng phức tạp dẫn đến việc sử dụng các yếu tố nguồn lực trong sản xuất nông nghiệp mang tính khu vực và tính thời vụ rõ rệt.

Nguồn lực đất đai rất có hạn, trong điều kiện nước ta, mức diện tích tự nhiên theo đầu người thấp hơn thế giới tới 6 lần (0,55ha/3,36h) xếp vào hàng thứ 135, thuộc nhóm các nước có mức bình quân đất đai thấp nhất thế giới. Trong đó bình quân đất nông nghiệp nước ta đạt 0,1ha/người, bằng 1/3 mức bình quân thế giới.

Tiềm năng về nguồn lực sinh học đa dạng, phong phú nhưng chưa được khai thác có hiệu quả, một số cây trồng vật nuôi chưa được coi trọng để chọn lọc, bồi dục. Một số giống mới được chọn lọc, lai tạo có năng suất cao nhưng chưa đáp ứng yêu cầu mở rộng diện tích, sản xuất.

Nguồn lực về vốn trong nông nghiệp nước ta đang là yếu tố hạn chế. Vốn tự có trong nông dân ít ỏi. Nguồn vốn ngân sách còn mỏng, nguồn thu cho ngân sách thấp và chưa ổn định, hàng năm ngân sách còn bội chi. Vì thế phải tính toán lựa chọn để sử dụng có hiệu quả yếu tố nguồn lực hạn chế này, từng bước tăng lực nội sinh và tạo thêm nguồn tích luỹ từ tiết kiệm ở trong nước.

Nguồn nhân lực của nước ta rất phong phú, hiện lao động nông nghiệp còn chiếm gần 70% tổng lao động xã hội, nhưng chưa được sử dụng hợp lý, một bộ phận sức lao động đáng kể thiếu việc làm, thu nhập thấp, nhất là những vùng đất chật người đông.

Trong quá trình chuyển nền kinh tế nước ta sang cơ chế thị trường có sự quản lý của Nhà nước, cần thiết phải tính toán, tìm kiếm các giải pháp để sử dụng các yếu tố nguồn lực hạn chế của nước ta hợp lý và có hiệu quả. Một mặt phải nhanh chóng khắc phục tình trạng lạc hậu về khoa học và công nghệ, mặt khác phải biết khai thác lợi thế so sánh của nền nông nghiệp nhiệt đới, á nhiệt đới để sản xuất các loại nông sản đưa ra thị trường quốc tế.

Vai trò các yếu tố nguồn lực trong việc tăng trưởng và phát triển nông nghiệp.

Tốc độ tăng trưởng và phát triển nông nghiệp trước hết phụ thuộc vào số lượng và chất lượng các yếu tố nguồn lực được huy động vào sản xuất nông nghiệp. Khi xem xét từng yếu tố nguồn lực, xu hướng vận động về số lượng và chất lượng của từng yếu tố nguồn lực theo các chiều hướng khác nhau. Nhưng khi sử dụng cần kết hợp các yếu tố nguồn lực một cách hài hoà, hợp lý. Tỷ lệ tham gia của mỗi yếu tố nguồn lực vào quá trình sản xuất từng loại nông sản tuỳ thuộc vào tính chất của quy trình kỹ thuật và tiến bộ công nghệ. Điều đó có nghĩa là tuỳ thuộc vào tính chất và trình độ phát triển của lực lượng sản xuất trong nông nghiệp mà quyết định những tỷ lệ về số lượng và chất lượng của mỗi yếu tố nguồn lực được huy động vào sản xuất.

Việc sử dụng tiết kiệm và có hiệu quả các yếu tố nguồn lực của sản xuất nông nghiệp là tất yếu khách quan đòi hỏi các cơ sở nông nghiệp phải coi trọng việc bảo vệ và phát triển hợp lý, đảm bảo mối quan hệ hài hoà giữa các yếu tố nguồn lực. Trong nông nghiệp nước ta kinh tế hộ nông dân và kinh tế trang trại là lực lượng chủ yếu sản xuất và cung cấp nguồn nông sản cho nền kinh tế quốc dân. Cần thiết phải đào tạo và bồi dưỡng kiến thức kỹ thuật và quản lý cho các chủ hộ nông dân, chủ trang trại và lực lượng lao động nông nghiệp để họ thực làm chủ về sản xuất và kết quả tài chính. Đồng thời phải củng cố, nâng cấp và xây dựng mới hệ thống hạ tầng kỹ thuật ở nông thôn, nhằm nhanh chóng phát huy có hiệu quả trong quá trình sử dụng các yếu tố nguồn lực của nông nghiệp.

Sử dụng yếu tố nguồn lực ruộng đất

Vị trí của yếu tố nguồn lực ruộng đất.

Đất đai là cơ sở tự nhiên, là tiền đề đầu tiên của mọi quá trình sản xuất. Đất đai tham gia vào hầu hết các quá trình sản xuất của xã hội, nhưng tuỳ thuộc vào từng ngành cụ thể mà vai trò của đất đai có sự khác nhau. Nếu trong công nghiệp, thương mại, giao thông đất đai là cơ sở, nền móng để trên đó xây dựng nhà xưởng, cửa hàng, mạng lưới đường giao thông, thì ngược lại trong nông nghiệp ruộng đất tham gia với tư cách yếu tố tích cực của sản xuất là tư liệu sản xuất chủ yếu không thể thay thế được.

Ruộng đất là sản phẩm của tự nhiên, có trước lao động, nó xuất hiện và tồn tại ngoài ý muốn con người, vì thế ruộng đất là tài sản quốc gia. Nhưng từ khi con người khai phá ruộng đất, đưa ruộng đất vào sử dụng nhằm phục vụ lợi ích của con người, trong quá trình lịch sử lâu dài lao động của nhiều thế hệ được kết tinh ở trong đó, thì ngày nay ruộng đất vừa là sản phẩm của tự nhiên vừa là sản phẩm của lao động.

Trong nông nghiệp, ruộng đất vừa là đối tượng lao động, vừa là tư liệu lao động. Ruộng đất là đối tượng lao động khi con người sử dụng công cụ lao động tác động vào đất làm cho đất thay hình đổi dạng, như cày, bừa, đập đất, lên luống v.v. Quá trình đó làm tăng chất lượng của ruộng đất, tạo điều kiện thuận lợi để tăng năng suất cây trồng. Ruộng đất là tư liệu lao động, khi con người sử dụng công cụ lao động tác động lên đất, thông qua các thuộc tính lý học, hoá học, sinh vật học và các thuộc tính khác của đất để tác động lên cây trồng. Sự kết hợp của đối tượng lao động và tư liệu lao động đã làm cho ruộng đất trở thành tư liệu sản xuất trong nông nghiệp. Không những thế, ruộng đất còn là tư liệu sản xuất chủ yếu, tư liệu sản xuất đặc biệt, tư liệu sản xuất không thể thay thế được.

Độ phì nhiêu là thuộc tính quan trọng nhất, là dấu hiệu chất lượng của ruộng đất. Nó có ảnh hưởng lớn đến năng suất cây trồng, đến hiệu quả sử dụng lao động sống và lao động quá khứ được sử dụng. Có nhiều loại độ phì khác nhau, bao gồm: độ phì nhiêu nguyên thuỷ nhưng trên thực tế không có gì là nguyên thuỷ, bởi lẽ ruộng đất hiện có đều gắn liền với sự hình thành và phát triển đất đai trong lịch sử. Độ phì nhiêu tự nhiên được tạo ra do kết quả của quá trình hình thành và phát triển của đất với các thuộc tính lý học, hoá học, sinh vật học và gắn chặt chẽ với điều kiện thời tiết khí hậu. Độ phì nhiêu nhân tạo là kết quả của quá trình lao động sản xuất của con người, một mặt biến những chất khó tiêu thành những chất dinh dưỡng dễ tiêu và mặt khác bổ sung cho đất về số lượng và chất lượng các chất dinh dưỡng trong đất còn thiếu bằng một hệ thống các biện pháp có căn cứ khoa học và có hiệu quả. Độ phì nhiêu kinh tế là sự thống nhất của độ phì nhiêu tự nhiên và độ phì nhiêu nhân tạo, nhằm sử dụng có hiệu quả độ phì nhiêu của đất trồng.

Đặc điểm của ruộng đất- tư liệu sản xuất chủ yếu trong nông nghiệp.

Khác với các tư liệu sản xuất khác, ruộng đất - tư liệu sản xuất chủ yếu trong nông nghiệp có những đặc điểm sau:

Ruộng đất vừa là sản phẩm của tự nhiên vừa là sản phẩm của lao động.

Đất đai vốn là sản phẩm của tự nhiên, chỉ từ khi con người tiến hành khai phá đưa đất hoang hoá vào sử dụng để tạo ra sản phẩm cho con người, thì ruộng đất đã kết tinh lao động con người và đồng thời trở thành sản phẩm của lao động.

Đặc điểm này đặt ra trong quá trình sử dụng, con người phải không ngừng cải tạo và bồi dưỡng ruộng đất, làm cho đất ngày càng màu mỡ hơn. Đồng thời, khi xác định các chính sách kinh tế có liên quan đến đất nông nghiệp, cũng cần lưu ý đến đặc điểm này.

Ruộng đất bị giới hạn về mặt không gian, nhưng sức sản xuất của ruộng đất là không có giới hạn.

Số lượng diện tích đất đai đưa vào canh tác bị giới hạn bởi không gian nhất định, bao gồm: giới hạn tuyệt đối và giới hạn tương đối. Diện tích đất đai của toàn bộ hành tinh, của từng quốc gia, của từng địa phương là con số hữu hạn, đó là giới hạn tuyệt đối của đất đai. Không phải tất cả diện tích đất tự nhiên đều đưa vào canh tác được, tuỳ thuộc điều kiện đất đai, địa hình và trình độ phát triển kinh tế của từng nước mà diện tích đất nông nghiệp đưa vào canh tác chỉ chiếm tỷ lệ phần trăm thích hợp. Đó là giới hạn tương đối, giới hạn này nhỏ hơn nhiều so với tổng quỹ đất tự nhiên. ở nước ta tỷ lệ nông nghiệp năm 2000 chiếm trên 28,38% tổng diện tích tự nhiên, khả năng đối đa đưa lên 35%.

Vì thế cần phải biết quý trọng và sử dụng hợp lý ruộng đất, sử dụng một cách tiết kiệm, hạn chế việc chuyển dịch ruộng đất sang sử dụng mục đích khác.

Mặc dù bị giới hạn về mặt không gian nhưng sức sản xuất của ruộng đất là không giới hạn. Nghĩa là mỗi đơn vị diện tích đất đai, nhờ tăng cường đầu tư vốn, sức lao động, đưa khoa học và công nghệ mới vào sản xuất mà sản phẩm đem lại trên một đơn vị diện tích ngày càng nhiều hơn. Đây là con đường kinh doanh chủ yếu của nông nghiệp, nhằm đáp ứng yêu cầu tăng lên về nông sản phẩm cung cấp cho xã hội loài người.

Ruộng đất có vị trí cố định và chất lượng không đồng đều.

Các tư liệu sản xuất khác có thể di chuyển đến những nơi thiếu và cần thiết, ngược lại ruộng đất - tư liệu sản xuất chủ yếu này có vị trí cố định gắn liền với điều kiện tự nhiên, điều kiện kinh tế và điều kiện xã hội của mỗi vùng. Để kết hợp với ruộng đất, người lao động và các tư liệu sản xuất khác phải tìm đến với ruộng đất như thế nào là hợp lý và có hiệu quả. Muốn thế, một mặt phải quy hoạch các khu vực canh tác, bố trí các trung tâm dịch vụ và phân bố các điểm dân cư hợp lý. Mặt khác phải cải thiện điều kiện tự nhiên, xây dựng cơ sở vật chất - kỹ thuật và hệ thống cấu hạ tầng nhằm tạo điều kiện để sử dụng đất có hiệu quả, nâng cao đời sống của nông dân và từng bước thay đổi bộ mặt nông thôn.

Ruộng đất có chất lượng không đồng đều giữa các khu vực và ngay trên từng cánh đồng. Đó là kết quả, một mặt do quá trình hình thành đất, mặt khác quan trọng hơn là do quá trình canh tác của con người. Vì thế trong quá trình sử dụng cần thiết phải cải tạo và bồi dưỡng đất, không ngừng nâng dần độ đồng đều của ruộng đất ở từng cánh đồng, từng khu vực để đạt năng suất cây trồng cao.

Ruộng đất - tư liệu sản xuất chủ yếu không bị hao mòn và đào thải khỏi quá trình sản xuất, nếu sử dụng hợp lý thì ruộng đất có chất lượng ngày càng tốt hơn.

Các tư liệu sản xuất khác sau một thời gian sử dụng đều bị hao mòn hữu hình hoặc hao mòn vô hình. Cuối cùng sẽ bị đào thải khỏi quá trình sản xuất và thay thế bằng tư liệu sản xuất mới,chất lượng cao hơn, giá rẻ hơn, còn ruộng đất - tư liệu sản xuất chủ yếu không bị hao mòn, nếu sử dụng hợp lý, chất lượng ruộng đất ngày càng tốt hơn, sức sản xuất của ruộng đất lớn hơn, cho nhiều sản phẩm hơn trên một đơn vị diện tích canh tác. Dĩ nhiên việc sử dụng ruộng đất có đúng đắn hay không là tuỳ thuộc vào chính sách ruộng đất của Nhà nước và các chính sách kinh tế vĩ mô khác, tuỳ thuộc vào trình độ phát triển của lực lượng sản xuất và tiến bộ khoa học - công nghệ của từng giai đoạn phát triển nhất định.

Những vấn đề có tính quy luật về vận động của ruộng đất trong nền kinh tế thị trường.

Ruộng đất là sản phẩm của tự nhiên đồng thời là yếu tố cần thiết trong quá trình sản xuất. Sự vận động của ruộng đất vừa chịu sự tác động của quy luật tự nhiên vừa chịu sự tác động của luật kinh tế, biểu hiện trên các khía cạnh mang tính quy luật sau:

Quy luật ruộng đất ngày càng khan hiếm và độ màu mỡ tự nhiên của ruộng đất có xu hướng giảm sút.

Với tổng quỹ đất có hạn, dân số không ngừng tăng làm cho diện tích đất đai bình quân đầu người giảm sút, tình trạng đó dẫn đến sự khan hiếm về ruộng đất ngày càng gay gắt. Cùng với sự khan hiếm về quỹ ruộng đất, độ màu mỡ tự nhiên của ruộng đất cũng có xu hướng giảm sút do mưa, gió lụt bão làm xói mòn, rửa trôi lớp đất màu làm trơ sỏi đá, đất bị sụt lỡ và chính sự khai thác thiếu ý thức của con người cũng làm cho ruộng đất bị kiệt quệ.

Mâu thuẫn gay gắt giữa chủ đất và nhà tư bản kinh doanh trong hợp đồng thuê đất do tranh giành địa tô chênh lệch dẫn đến kết cục là ruộng đất bị khai thác kiệt quệ.

Việc ứng dụng tiến bộ khoa học và công nghệ có tác động trên hai mặt: mặt tích cực là tăng năng suất cây trồng, song mặt khác chính những tiến bộ khoa học và công nghệ đó ứng dụng vào canh tác lại làm chất đất biến động, làm mất đi độ mầu mỡ của thiên nhiên ban phú, công năng của đất mang nặng tính nhân tạo. Nếu do nguyên nhân nào đó, con người không có điều kiện áp dụng tiến bộ khoa học và công nghệ vào sản xuất, hoặc đưa vào với mức độ thấp hơn thì năng suất cây trồng sẽ giảm sút. Như vậy, những yếu tố quy định tính quy luật giảm sút màu mỡ đai đai phụ thuộc vào cả tự nhiên, kinh tế và kỹ thuật.

Các yếu tố của sản xuất như vốn, lao động và ruộng đất đều trở thành hàng hoá trong điều kiện kinh tế thị trường.

Kinh tế hàng hoá phát triển qua hai giai đoạn: Kinh tế hàng hoá giản đơn và kinh tế thị trường. Kinh tế hàng hoá giản đơn là kinh tế hàng hoá của những người nông dân, thợ thủ công cá thể tiến hành trên cơ sở sức lao động và tư liệu sản xuất của bản thân người sản xuất. Trong quá trình phát triển, kinh tế hàng hoá giản đơn tất yếu chuyển thành kinh tế thị trường.

Khác với kinh tế hàng hoá giản đơn, kinh tế thị trường phát triển ở một phạm vi và trình độ cao hơn, mọi yếu tố đầu vào và đầu ra của quá trình sản xuất đều trở thành hàng hoá, trao đổi trên thị trường, trong đó có đất đai.

Tập trung ruộng đất có xu hướng tăng lên theo yêu cầu phát triển của sản xuất hàng hoá.

Tập trung ruộng đất là việc sáp nhập hoặc hợp nhất ruộng đất của những chủ sở hữu khác nhau vào một chủ sở hữu hoặc hình thành một chủ sở hữu mới có quy mô ruộng đất lớn hơn. Tập trung ruộng đất diễn ra theo hai con đường; Một là hợp nhất ruộng đất của các chủ sở hữu cá biệt nhỏ hơn thành một chủ sở hữu cá biệt khác lớn hơn. Con đường này được thực hiện thông qua việc xây dựng HTX sản xuất nông nghiệp ở nước ta như trước đây.

Hai là, con đường sáp nhập ruộng đất của các chủ sở hữu nhỏ cá biệt cho một chủ sở hữu cá biệt để tạo ra quy mô lớn hơn. Con đường này được thực hiện thông qua biện pháp tước đoạt hoặc chuyển nhượng mua bán ruộng đất. Con đường này diễn ra mạnh mẽ ở các nước ta bản trong giai đoạn tích luỹ nguyên thuỷ tư bản mà tiêu biểu là nước Anh.

Việc tập trung ruộng đất vào tay chủ sở hữu mới tạo ra kết quả hai mặt: một mặt làm cho một bộ phận nông dân trở thành không có ruộng đất, buộc họ phải đi làm thuê hoặc rời quê hương tìm kế sinh nhai. Mặt khác tạo cho chủ đất có điều kiện áp dụng tiến bộ kỹ thuật, đầu tư thâm canh tăng nâng suất cây trồng. Đó là con đường tất yếu để giảm bộ phận lao động tất yếu, chuyển lao động nông nghiệp sang các ngành kinh tế khác, trước hết là công nghiệp, nó sẽ diễn ra khá mạnh trong thời kỳ công nghiệp hoá, đồng thời có tác dụng thúc đẩy nông nghiệp phát triển.

Quá trình công nghiệp hoá, đô thị hoá diễn ra mạnh mẽ đi đối với quá trình chuyển đất nông nghiệp sang đất chuyên dùng ngày càng tăng.

Một mặt đất nông nghiệp chuyển sang xây dựng kết cấu hạ tầng (đường sá giao thông), xây dựng nhà máy, xí nghiệp, cửa hàng; mặt khác quá trình đô thị hoá làm cho dân cư thành phố tăng nhanh dẫn đến nhu cầu xây dựng nhà ở dân cư, công sở ngày càng lớn.

Quỹ đất và những đặc trưng của quỹ ruộng đất.

Tổng quỹ đất tự nhiên của nước ta là 33.104,22 ngàn ha, trong đó quỹ đất nông nghiệp năm 2000 có 9.394,97 ngàn ha, chiếm 28,38%. Là nước có diện tích tự nhiên không lớn, xếp thứ 60 trong số 160 nước trên thế giới và xếp hàng thứ tư trong khối các nước Đông Nam á.

Trong 13 năm lại đây, quỹ đất nông nghiệp có những biến động đáng kể, nhất là từ năm 1990 lại đây. Quỹ đất nông nghiệp tăng nhanh, chủ yếu là vùng Tây Nguyên (kể cả Lâm Đồng) tăng 471.14 ngàn ha, bằng 125,31% trong vòng 13 năm, vùng Đông Nam Bộ tăng 526,01 ngàn ha bằng 65,68%.

Quỹ đất nông nghiệp tăng lên, trong đó chủ yếu là đất trồng cây lâu năm, từ 604,74 ngàn ha năm 1985 tăng lên 1.553,5 ngàn ha năm 1997, tăng 928,76 ngàn ha, bằng 253,28%; trong đó Tây nguyên tăng 304,69 ngàn ha, bằng 420,25% vùng Đông Nam Bộ tăng 345,46 ngàn ha, bằng 152,49%. Điều đáng lưu ý là quỹ đất trồng lúa giảm, trong vòng 13 năm diện tích đất trồng lúa cả nước giảm 97,06 ngàn ha, trong đó đồng bằng sông Hồng giảm 51,54 ngàn ha.

Quỹ đất lâm nghiệp tăng lên, từ 9.641,66 ngàn ha năm 1985 tăng lên 11.153,3 ngàn ha tăng năm 1997 , trong đó vùng núi và trung du phía Bắc tăng 1.045,18 ngàn ha.

Quỹ diện tích mặt nước nuôi trồng thuỷ sản tăng lên nhanh, từ 249,0 ngàn ha năm 1987 tăng lên 508,017 ngàn ha năm 1997, trong đó vùng đồng bằng sông Cửu long tăng 173,95 ngàn ha.

Quỹ đất nông nghiệp nước ta có một số đặc trưng đáng chú ý sau:

- Quỹ đất nông nghiệp của nước ta rất đa dạng, cả nước có 13 nhóm đất chính, trong đó nhóm đất đỏ chiếm gần 54% được phân bổ chủ yếu ở Trung du và miền núi phía Bắc, Tây nguyên, Bắc Trung bộ và Duyên Hải miền trung. Nhóm đất xám, đất đen đang bị thoái hoá với 2,48 triệu ha, tập trung chủ yếu ở Đông Nam bộ, Tây nguyên. Nhóm đất phù sa chủ yếu ở vùng đồng bằng sông Cửu long và đồng bằng sông Hồng v.v..

- Nước ta có một số nhóm đất có chất lượng tốt, như đất bazan rất thích để phát triển cà phê, cao su, hồ tiêu và các loại cây ngắn ngày, đất phù sa thích hợp trồng cây lương thực, nhất là cây lúa, trồng cây công nghiệp ngắn ngày v.v. Bên cạnh một số loại đất tốt, quỹ đất nước ta cũng có một số loại đất xấu như đất bị bạc màu, đất chua mặn, đất cát ven biển v.v cần được cải tạo và bồi dưỡng đất.

- Quỹ đất nông nghiệp của nước ta không lớn, mức bình quân diện tích đầu người thấp, xếp hàng thứ 135 trên 160 nước và hàng thứ 9 ở Đông Nam á. ở đồng bằng sông Hồng diện tích đất nông nghiệp bình quân đầu người quá thấp - trên 500m2/người, có nhiều xã đạt dưới 300m2/người.

Những biện pháp chủ yếu để sử dụng đầy đủ và hợp lý đất nông nghiệp.

Để sử dụng đầy đủ và hợp lý đất nông nghiệp cần thực hiện tốt các biện pháp sau đây:

Thực hiện đánh giá đất đai theo số lượng, chất lượng và các điều kiện gắn với đất đai làm cơ sở khoa học cho việc phân loại, bố trí quy hoạch sử dụng đất theo hướng khai thác lợi thế so sánh của từng vùng, từng địa phương.

Điều tra, đánh giá phân loại đất, một mặt nhằm đánh giá chính xác tiềm năng đất đai có thể sử dụng vào sản xuất nông nghiệp, mặt khác nhằm xác lập cơ sở khoa học cho việc bố trí sử dụng đất đai.

Đánh giá số lượng, chất lượng đất đai là hai mặt của điều tra cơ bản nguồn tài nguyên đất. Đó là công việc cần thiết nhưng cũng rất tốn kém công sức tiền của. Vì vậy cần tiến hành từng bước, có sự đầu tư và phối hợp với nhiều ngành khoa học khác nhau.

Đẩy mạnh thâm canh nông nghiệp, đồng thời tích cực mở rộng diện tích bằng khai thác và tăng vụ.

Thâm canh là con đường phát triển chủ yếu của sản xuất nông nghiệp. Do diện tích bề mặt của ruộng đất có hạn, để tạo ra ngày càng nhiều nông sản, loài người phải khai thác chiều sâu của ruộng đất. Đó là con đường phát triển nông nghiệp hàng hoá theo hướng công nghiệp hoá, hiện đại hoá. Thâm canh phải được thực hiện từ đầu, toàn diện, liên tục và ngày càng cao. Tuy nhiên trong quá trình thực hiện thâm canh phải coi trọng tính hiệu quả, phải gắn thâm canh với quá trình cải tạo và bồi dưỡng ruộng đất.

Cùng với quá trình thực hiện thâm canh, coi trọng biện pháp mở rộng diện tích bằng khai hoang và tăng vụ. ở nước ta quỹ đất có khả năng nông nghiệp vẫn còn ở một số vùng, ở đây có thể khai hoang đưa quỹ đất này vào sản xuất nông nghiệp. Bên cạnh đó quỹ đất trống đồi núi trọc, bãi bồi ven biển còn lớn, cần thiết được khai thác để phát triển nông nghiệp, lâm nghiệp và nuôi trồng thuỷ sản. Tuỳ điều kiện từng vùng mà lựa chọn hình thức khai hoang thích hợp, có thể là khai hoang tại chỗ, có thể là khai hoang gắn với việc xây dựng vùng kinh tế mới. Việc lựa chọn hình thức nào là phải căn cứ vào điều kiện cụ thể về quỹ đất đai, vốn của ngân sách nhằm hỗ trợ cho những người đi khai hoang và vốn của bản thân họ góp phần đầu tư để khai hoang. Việc tăng vụ, chuyển vụ ở nước ta trong những năm qua đã có nhiều thành công, tuy nhiên nếu biết khai thác tiềm năng tăng vụ to lớn ở nước ta, thì tăng vụ còn đem lại hiệu quả lớn hơn.

Phải sử dụng một cách tiết kiệm quỹ đất nông nghiệp, đặc biệt là việc chuyển đất nông nghiệp sang mục đích sử dụng khác.

Quỹ đất nông nghiệp rất có hạn về mặt diện tích, trong khi đó nhu cầu về nông sản ngày càng tăng lên. Đồng thời nhu cầu chuyển một phần đất nông nghiệp thành đất phi nông nghiệp cũng rất bức xúc trong quá trình công nghiệp hoá và hiện đại hoá. Vì vậy sử dụng tiết kiệm đất nông nghiệp vừa là yêu cầu vừa là biện pháp để sử dụng đầy đủ và hợp lý đất đai. Hạn chế việc chuyển đất nông nghiệp sang mục đích sử dụng khác.

Đẩy mạnh công tác chuyển đổi ruộng đất nhằm khắc phục tình trạng phân tán manh mún trong sử dụng đất.

Trong một thời gian khá dài (gần 30 năm) ruộng đất do hợp tác xã nông nghiệp thống nhất và quản lý sử dụng, hiệu quả sử dụng ruộng đất thấp, tình trạng khan hiếm lương thực, thực phẩm kéo dài, đời sống của nông dân gặp khó khăn. Nghị quyết 10 của Bộ Chính trị được ban hành (4/1988) khẳng định việc giao quyền sử dụng ruộng đất lâu dài cho bộ xã viên, phần lớn hộ xã viên ở các địa phương đòi hỏi sự công bằng trong khi giao ruộng với phương thức: "có gần, có xa", "có xấu, tốt" để đảm bảo nếu thửa này mất mùa, thì thửa khác có thể gỡ lại nhờ được mùa nhằm đảm bảo cuộc sống của từng hộ nông dân. Với nhận thức là hướng vào sản xuất tự cấp, tự túc trong điều kiện sản xuất thấp kém thì phương thức giao ruộng này có thể giúp cho hộ nông dân vượt qua những khó khăn. Cùng với quá trình đổi mới kinh tế, điều kiện sản xuất đã thay đổi, nông nghiệp Việt Nam đang chuyển mạnh sang sản xuất hàng hoá, ứng dụng nhiều hơn những tiến bộ khoa học - công nghệ mới, nhất là về giống, quy trình canh tác thâm canh thì những mảnh ruộng bị chia cắt phân tán, manh mún đang là lực cản lớn trên con đường phát triển của nông nghiệp hiện đại. Đã đến lúc các hộ nông dân tự thấy cần thiết phải chuyển đổi các thửa ruộng nhỏ thành thửa ruộng có quy mô lớn hơn. Công tác chuyển đổi ruộng đất đã và đang diễn ra ở một số địa phương bước đầu đem lại kết quả thiết thực, được nông dân đồng tình và hưởng ứng. Ngành địa chính và chính quyền địa phương cần tiếp tục tổng kết, đánh giá, lựa chọn và rút ra một số phương án tốt, thích hợp để chỉ đạo, hướng dẫn các hộ nông dân thực hiện và sớm hoàn thành công việc chuyển đổi, khắc phục được tình trạng phân tán và manh mún của ruộng đất. Đồng thời với quá trình chuyển đổi ruộng đất, các địa phương kết hợp cấp lại giấy chứng nhận quyền sử dụng đất để các hộ nông dân có thể sử dụng làm thế chấp khi vay vốn tín dụng tại các ngân hàng thương mại.

Thúc đẩy quá trình tập trung ruộng đất, khuyến khích thực hiện phương thức "ai giỏi nghề gì làm nghề đó"

Tình hình phân bổ và tập trung ruộng đất trong hộ nông dân từ sau 10 năm đổi mới, nhất là từ khi ban hành luật đất đai năm 1993 lại đây cho thấy xu thế chuyển đổi từ nông nghiệp manh mún, tự túc sang sản xuất hàng hoá có quy mô lớn ngày càng rõ, kinh tế trang trại đã ra đời và phát triển ở nhiều vùng trong cả nước, nhất là các tỉnh trung du, miền núi, Tây nguyên, Đông Nam bộ, ven biển, v.v.. Đồng thời cũng xuất hiện một bộ phận hộ nông dân không có đất hoặc quá ít đất mà chưa tìm được việc làm mới thay thế, họ đã và đang trở thành lao động làm thuê thường xuyên hoặc thời vụ.

Khuyến khích những người có khả năng và nguyện vọng (có vốn, có kiến thức và kinh nghiệm sản xuất, có ý chí làm giàu) kinh doanh nông nghiệp, phát triển kinh tế trang trại được Nhà nước giao đất hoặc cho thuê đất và được cấp giấy chứng nhận chuyển quyền sử dụng đất, cho phép hộ gia đình, cá nhân được nhận chuyển nhượng quyền sử dụng đất, thuê hoặc thuê lại quyền sử dụng đất của các tổ chức, hộ gia đình, cá nhân khác để phát triển trang trại theo quy định của pháp luật. Như vậy kinh tế trang trại ở Việt Nam đã được pháp luật thừa nhận và khuyến khích phát triển, Nhà nước đã tạo điều kiện thuận lợi nhất để những người có khả năng đi vào kinh doanh nông nghiệp và phát triển kinh tế trang trại cũng chính là thực hiện một phần của phương thức nêu trên. Hiện nay một số lượng đáng kể các trang trại đang nhận thầu đất của công nhân lâm trường, của các hợp tác xã hoặc chính quyền cấp xã, của các chủ dự án cần được tháo gỡ về một số chính sách, thời hạn nhận thầu. Cần xem xét từng trường hợp nhận thầu cụ thể để tìm cách giải quyết cho phù hợp. Đối với đất các lâm trường nếu chuyển sang mục đích sản xuất nông nghiệp - trồng cây công nghiệp lâu năm, cây ăn quả thì lâm trường có thể giao lại cho chính quyền địa phương để giao đất và cấp giấy chứng nhận cho các trang trại. Đối với đất của các nông trường nếu phần đất nhận thầu không ảnh hưởng đến quy hoạch sản xuất thì nông trường cũng có thể giao lại cho chính quyền địa phương để giao và cấp giấy chứng nhận quyền sử dụng đất cho các trang trại. Tiếp tục nghiên cứu các trường hợp nhận thầu còn lại để từng bước tháo gỡ vướng mắc cho các trang trại nhận thầu đất của nông lâm trường. Đối với vùng đất chật người đông, việc thúc đẩy quá trình tập trung ruộng đất phải đi đôi với phát triển ngành nghề, làng nghề để thu hút lao động dư thừa từ nông nghiệp. Từ những năm 1990 lại đây ở đồng bằng sông Hồng các làng nghề phát triển nhanh, từ chỗ chiếm 1/3 số làng nghề cả nước đến nay vùng đồng bằng sông Hồng chiếm gần 50% số làng nghề cả nước và đang thu hút một lực lượng lao động đáng kể vào hoạt động phi nông nghiệp. Đó là xu thế tích cực cần có chính sách khuyến khích phát triển và mở rộng lĩnh vực hoạt động phi nông nghiệp này. Đồng thời ở từng vùng cần xem xét từng trường hợp cụ thể để giải quyết hợp tình, hợp lý và đúng với quy định của pháp luật hiện hành, như cấp đất (nếu chưa được cấp và nơi còn quỹ đất công), vận động chuộc lại đất cầm cố, tổ chức đưa dân đi khai hoang xây dựng vùng kinh tế mới.

Phải kết hợp chặt chẽ giữa khai thác với bảo vệ, bồi dưỡng và cải tạo ruộng đất.

Ruộng đất - tư liệu sản xuất chủ yếu không bị hao mòn và đào thải khỏi quá trình sản xuất, nếu sử dụng hợp lý thì đất đai ngày càng tốt hơn. Việc sử dụng hợp lý ruộng đất hay không là tuỳ thuộc vào quá trình sử dụng có kết hợp chặt chẽ giữa khai thác, sử dụng ruộng đất với việc bảo vệ, bồi dưỡng và cải tạo đất đai hay không. Vì thế trong quá trình sử dụng ruộng đất phải tìm mọi biện pháp để bảo vệ chống xói mòn, rửa trôi ruộng đất. Phải thường xuyên coi trọng công tác bồi dưỡng và cải tạo đất làm tăng độ phì nhiêu của đất.

Tăng cường quản lý Nhà nước đối với ruộng đất.

Ruộng đất là tài sản quốc gia, Nhà nước giao quyền sử dụng ổn định và lâu dài cho nông dân. Việc tăng cường quản lý Nhà nước về đất đai nói chung và đất nông nghiệp nói riêng là cần thiết và tất yếu. Nội dung của quản lý Nhà nước đối với đất nông nghiệp, bao gồm: Quy hoạch sử dụng đất, xây dựng hệ thống các biện pháp sử dụng đất, xác lập hệ thống các chính sách sử dụng đất .v.v Trong những năm trước mắt cần khắc phục tình trạng quản lý và sử dụng đất đai kém hiệu quả, trong đó rà soát lại tình hình quản lý và sử dụng quỹ đất nông nghiệp, khắc phục tình trạng bao chiếm đất và sử dụng đất kém hiệu quả của các doanh nghiệp Nhà nước. Đất ở các doanh nghiệp này cần được giao lại cho địa phương để giao cho các chủ sử dụng khác (hộ, trang trại) có hiệu quả hơn. Xác định đất đang sử dụng không có hiệu quả hoặc hiệu quả thấp làm cơ sở cho việc xây dựng phương án chuyển đổi cơ cấu sản xuất nông nghiệp tạo điều kiện và khung pháp lý để hình thành thị trường chuyển nhượng đất đai.

Sử dụng yếu tố nguồn nhân lực trong nông nghiệp

Khái niệm và đặc điểm của nguồn nhân lực trong nông nghiệp.

Nguồn lực lao động là lực lượng sản xuất quan trọng nhất của xã hội. Việc nghiên cứu nguồn nhân lực trong nông nghiệp có ý nghĩa rất to lớn đối với sự phát triển nông nghiệp cũng như đối với sự phát triển của toàn bộ nền kinh tế quốc dân. Trước hết cần làm rõ thế nào là nguồn nhân lực trong nông nghiệp? Nguồn nhân lực trong nông nghiệp là tổng thể sức lao động tham gia vào hoạt động sản xuất nông nghiệp, bao gồm số lượng và chất lượng của người lao động. Về số lượng bao gồm những người trong độ tuổi (nam từ 15 đến 60 tuổi, nữ từ 15 đến 55 và những người trên và dưới độ tuổi nói trên tham gia hoạt động sản xuất nông nghiệp). Như vậy về lượng của nguồn nhân lực trong nông nghiệp khác ở chỗ, nó không phải chỉ bao gồm những người trong độ tuổi mà bao gồm cả những người trên và dưới độ tuổi có khả năng và thực tế tham gia lao động. Về chất lượng bao gồm thể lực và trí lực của người lao động, cụ thể là trình độ sức khoẻ, trình độ nhận thức, trình độ chính trị, trình độ văn hoá, nghiệp vụ và tay nghề của người lao động.

Nguồn nhân lực trong nông nghiệp có những đặc điểm riêng so với các ngành sản xuất vật chất khác, trước hết mang tính thời vụ cao là nét đặc trưng điển hình tuyệt đối không thể xoá bỏ, nó làm phức tạp quá trình sử dụng yếu tố nguồn nhân lực trong nông nghiệp. Là thứ lao động tất yếu, xu hướng có tính quy luật là không ngừng thu hẹp về số lượng và được chuyển một bộ phận sang các ngành khác, trước hết là công nghiệp với những lao động trẻ khoẻ có trình độ văn hoá và kỹ thuật. Vì thế số lao động ở lại trong khu vực công nghiệp thường là những người có độ tuổi trung bình cao và tỷ lệ này có xu hướng tăng lên.

Xu hướng biến đổi nguồn nhân lực trong nông nghiệp

Trong giai đoạn đầu của quá trình công nghiệp hoá, nguồn nhân lực trong nông nghiệp có số lượng lớn và chiếm tỷ trọng cao trong tổng lao động xã hội. Song, cùng với sự phát triển của quá trình công nghiệp hoá, nguồn nhân lực trong nông nghiệp vận động theo xu hướng giảm xuống cả tương đối và tuyệt đối. Quá trình biến đổi đó diễn ra theo hai giai đoạn.

Giai đoạn đầu diễn ra khi đất nước bắt đầu công nghiệp hoá, nông nghiệp chuyển sang sản xuất hàng hoá, năng suất lao động nông nghiệp có tăng lên, một số lao động nông nghiệp được giải phóng trở nên dư thừa và được các ngành khác thu hút, sử dụng vào hoạt động sản xuất - dịch vụ. Nhưng do tốc độ tăng tự nhiên của lao động trong khu vực công nghiệp còn lớn hơn tốc độ thu hút lao động dư thừa từ nông nghiệp, do đó ở thời kỳ này tỷ trọng lao động nông nghiệp mới giảm tương đối, số lượng lao động tuyệt đối còn tăng lên. Giai đoạn này dài hay ngắn là tuỳ thuộc vào trình độ phát triển kinh tế của đất nước quyết định. Đài loan là nơi có tốc độ tăng trưởng kinh tế khá cao với thời gian dài. Trong 40 năm, thu nhập quốc dân bình quân đầu người của Đài loan tăng trên 70 lần. Từ một nền nông nghiệp lạc hậu, Đài loan trở thành một nền công nghiệp mới. Năm 1952 nông nghiệp chiếm 35,9%, công nghiệp chiếm 18,0% và dịch vụ chiếm 46,1% trong tổng GDP. Cùng thời gian này dân cư nông nghiệp có 4.257 ngàn người, chiếm 52,4% dân số Đài loan. Đến năm 1970 tỷ trọng của nông nghiệp giảm xuống 17,5% và công nghiệp tăng lên 34,7% trong GDP; dân số nông nghiệp tăng lên 5.997 ngàn người và chiếm 40,9%. Đài loan kết thúc giai đoạn I, giai đoạn lao động nông nghiệp mới giảm tương đối, phải mất 20 năm. Nước ta đang ở giai đoạn thứ nhất, tỷ trọng nông nghiệp trong tổng lao động xã hội đã có xu hướng giảm xuống từ 72% năm 1993 xuống 68,64% năm 1998, nhưng số lao động còn tăng lên, từ 20.482,9 ngàn lao động tăng lên 25.302 ngàn lao động cùng thời gian tương tự.

Giai đoạn thứ hai, nền kinh tế đã phát triển ở trình độ cao, năng suất lao động nông nghiệp tăng nhanh và năng suất lao động xã hội đạt trình độ cao. Số lao động dôi ra do nông nghiệp giải phóng đã được các ngành khác thu hút hết. Vì thế giai đoạn này số lượng lao động giảm cả tương đối và tuyệt đối.

Phân bố và sử dụng nguồn nhân lực trong nông nghiệp nước ta.

Năm 1998 cả nước có 10.981 ngàn hộ nông nghiệp với 52.668 ngàn nhân khẩu, trong đó có 25.302 ngàn lao động chiếm 68,64% tổng lao động xã hội. Như vậy dân số và lao động nông nghiệp còn chiếm tỷ trọng lớn, nhưng phân bố không đều giữa các vùng, thường tập trung ở vùng đồng bằng và ven biển. Năm 1998 vùng đồng bằng sông Hồng có 4.997 ngàn lao động nông nghiệp chiếm 19,75% lao động nông nghiệp cả nước nhưng diện tích đất nông nghiệp chỉ chiếm 8,57% diện tích đất nông nghiệp cả nước, tính ra cứ 1 ha có 7,43 lao động, bằng 230% mức bình quân chung cả nước và bằng 49,5% của Tây nguyên và Đông nam bộ. Vùng Bắc Trung bộ có 3.587 ngàn lao động chiếm 14,18% tổng lao động nông nghiệp cả nước nhưng chỉ có 8,68% diện tích đất nông nghiệp và tính ra trên 1 ha có 5,27 lao động. Điều đó có thể thấy ở biểu sau:

Phân bố lao động và đất nông nghiệp giữa các vùng trong cả nước năm 1998.

Nguồn: Số liệu thống kê - Nông - Lâm nghiệp - thủy sản Việt Nam 1990 - 1998 và dự báo năm 2000. Nhà xuất bản Thống kê, Hà Nội 1999

Sự phân bố không đồng đều giữa các vùng về lao động và đất đai đã gây sự lãng phí, làm cho hiệu quả sử dụng nguồn nhân lực trong nông nghiệp còn thấp.

Phân bố nguồn nhân lực trong nội bộ ngành nông nghiệp nhìn chung là chưa hợp lý. Đại bộ phận lao động nông nghiệp nằm trong khu vực sản xuất lương thực, bởi lẽ diện tích trồng cây lương thực còn chiếm tỷ trọng lớn, năm 1998 diện tích gieo trồng cây lương thực còn chiếm 72,97% tổng diện tích gieo trồng cả nước, riêng cây lúa còn chiếm 62,90%. Vùng đồng bằng sông Cửu long diện tích cây lương thực chiếm 86,7% và riêng lúa chiếm 85,81% tổng diện tích gieo trồng toàn vùng. Vùng đồng bằng sông Hồng cũng tương tự với 82,7% diện tích cây lương thực và diện tích gieo trồng lúa chiếm 73,10% trong tổng diện tích gieo trồng toàn vùng. Số lao động giành cho các cây trồng khác nhất là cây công nghiệp lâu năm, cây ăn quả trên cả nước chưa lớn, song một số vùng chiếm tỷ trọng đáng kể, như vùng Tây nguyên diện tích cây lâu năm chiếm gần 50% và Đông Nam bộ chiếm gần 40% tổng diện tích gieo trồng toàn vùng. ở đây đã hình thành những trang trại trồng cà phê, cao su, điều, v.và lao động giành cho sản xuất cây công nghiệp hàng hoá với tỷ trọng lớn. Một số địa phương đã phát triển mạnh ngành chăn nuôi, hình thành các hộ, trang trại chuyên chăn nuôi, như ở Lâm đồng, Đồng nai, Ninh thuận, Mộc châu ngoại thành thành phố Hồ Chí Minh, ngoại thành thành phố Hà Nội v.v và một bộ phận lao động chuyên chăn nuôi đã hình thành, nhưng còn chiếm tỷ trọng nhỏ. Nhìn chung sự phân công lao động trong nông nghiệp nước ta còn kém phát triển, phần lớn lao động tập trung ở ngành trồng trọt, đặc biệt là ở khu vực sản xuất lương thực, thực phẩm và tập trung ở những vùng đồng bằng châu thổ, ven các trục đường giao thông. Do sự phân bố lao động nông nghiệp theo vùng và phân bố theo ngành còn bất hợp lý cho nên việc sử dụng nguồn nhân lực còn nhiều lãng phí. Với các công cụ máy móc trang bị chưa nhiều, phần lớn là công cụ thô sơ, giản đơn vì thế năng suất lao động còn thấp, thu nhập và đời sống cho người lao động chậm được cải thiện.

Tạo việc làm, tăng thu nhập cho người lao động nông nghiệp.

Lao động nông nghiệp Việt Nam đang chiếm tỷ trọng lớn trong tổng lao động xã hội, trong khi đó quỹ đất nông nghiệp không lớn, mức bình quân đất nông nghiệp theo dân cư nông nghiệp ở nước ta thuộc nhóm các nước thấp nhất trên thế giới. Mặt khác tốc độ tăng dân số ở Việt Nam còn cao, với tốc độ tăng 1,8%, hàng năm, số lao động bước vào thị trường lao động khoảng một triệu người. Theo số liệu của tổng cục thống kê công bố trong niêm giám năm 1998, tỷ lệ thời gian lao động được sử dụng của lao động trong độ tuổi ở khu vực nông thôn là 71,1%, điều đó có nghĩa là khu vực nông thôn đang còn 28,9% thời gian lao động chưa được sử dụng tương đương với 7,1 triệu lao động còn dư thừa. Như vậy tình trạng dư thừa lao động và thiếu việc làm đang tăng, thu nhập của nông dân vẫn còn thấp. Nhờ có sự tăng trưởng nông nghiệp trong những năm đổi mới khá cao cho nên mức đói nghèo đã giảm xuống đáng kể. Từ những cuộc điều tra năm 1992 - 1993 đã có đến 51% số dân bị nghèo đói, tỷ lệ đó đã giảm xuống 20,4% (năm 1995), xuống 19,2% (năm 1996), trong đó số dân thành thị là 8%, trong khi đó tỷ lệ này của nông thôn còn 22,5%, năm 1997 là 18,3%. Chênh lệch thu nhập giữa nhóm hộ có thu nhập cao so với nhóm hộ thu nhập thấp có xu hướng mở rộng ra. Số liệu điều tra thống kê cho thấy năm 1995 sự khác biệt giữa 20% người có thu nhập cao nhất và 20% người có thu nhập thấp nhất là 6,8 lần và năm 1997 tăng lên 7,3 lần. Đó là vấn đề kinh tế xã hội cần được quan tâm giải quyết. Vấn đề đặt ra là phải tạo thêm việc làm và tăng thu nhập cho dân cư nông thôn. Trên cơ sở đảm bảo an toàn về lương thực, từng vùng thực hiện chuyển dịch cơ cấu kinh tế nông nghiệp theo hướng sản xuất hàng hoá, đa dạng hoá cây trồng, vật nuôi, hướng vào những cây có giá trị hàng hoá và hàng hoá xuất khẩu cao để tạo thêm việc làm và tăng thu nhập cho nông dân. Do lực lượng lao động ở nông thôn tiếp tục tăng nhanh chóng, để có thể thu hẹp khoảng cách thu nhập giữa thành thị và nông thôn bằng cách tạo ra việc làm phi nông nghiệp ở nông thôn. Một mặt giảm tỷ hộ thuần nông, tăng hộ nông nghiệp kiêm ngành nghề dịch vụ, hồi phục và phát triển ngành nghề thủ công, ngành nghề truyền thống ở nông thôn. Mặt khác tăng cường tiết kiệm trong dân cư nông thôn đẩy mạnh đầu tư phát triển công nghiệp nông thôn thông qua phát triển các doanh nghiệp vừa và nhỏ ở các thị trấn, các tụ điểm dân cư vừa để thu hút lực lượng lao động trẻ ở nông thôn vừa tạo ra những sản phẩm tiêu dùng phục vụ dân cư nông thôn- bằng các chính sách cởi mở khuyến khích dân cư đầu tư phát triển mạnh công nghiệp nông thôn.

Phương hướng và biện pháp sử dụng có hiệu quả nguồn nhân lực trong nông nghiệp nước ta.

Phương hướng cơ bản sử dụng có hiệu quả nguồn nhân lực trong nông nghiệp nước ta là: giải phóng mọi sức sản xuất ở nông thôn, khai thác và sử dụng có hiệu quả tiềm năng các nguồn lực của đất nước, của các vùng và của các ngành nông nghiệp, phát triển mạnh nền nông nghiệp hàng hoá nhiều thành phần, đẩy mạnh việc áp dụng tiến bộ khoa học - công nghệ vào nông nghiệp, phát triển nông thôn tổng hợp, gắn chặt chẽ sử dụng lao động với việc mở rộng kinh tế đối ngoại, kết hợp giải quyết việc làm của người lao động tại chỗ là chủ yếu với phân bổ lao động hợp lý theo vùng lãnh thổ; Nhà nước thông qua các chính sách và cơ chế quản lý để tạo thêm việc làm và khuyến khích mọi người lao động tự tạo việc làm cho mình, nâng cao năng suất lao động và nâng cao mức sống của người lao động.

Để thực hiện phương hướng trên đây, cần phải có một hệ thống các giải pháp sau:

Xây dựng một cơ cấu kinh tế hợp lý chẳng những có ý nghĩa quyết định đối với sự phát triển kinh tế của cả nước, mà còn có ý nghĩa đối với sử dụng đầy đủ và hợp lý nguồn lao động xã hội, trong đó có lao động nông nghiệp. Trong điều kiện nước ta lao động nông nghiệp còn chiếm tỷ lệ lớn, thì việc sử dụng đầy đủ và hợp lý nguồn lao động nông nghiệp càng phải được thực hiện trong mối quan hệ hữu cơ với việc phát triển các ngành kinh tế quốc dân khác để hình thành cơ cấu phân công lao động mới nhằm thực hiện cơ cấu kinh tế hợp lý. Mở rộng và phát triển mạnh các ngành kinh tế quốc dân: công nghiệp và tiểu thủ công nghiệp, giao thông, thương mại và dịch vụ... là để mở rộng địa bàn sản xuất, thu hút mọi người có khả năng lao động trong nông nghiệp với những tư liệu sản xuất cần thiết bảo đảm cho lao động nông nghiệp ngày càng có hiệu quả hơn.

Việc phân phối sức lao động giữa nông nghiệp và các ngành kinh tế quốc dân khác phải đảm bảo cho nông nghiệp cả về số lượng và chất lượng một cơ cấu lao động hợp lý đủ để cho nông nghiệp phát triển theo đúng định hướng xã hội chủ nghĩa. Việc rút bớt lao động nông nghiệp chuyển sang phát triển các ngành kinh tế khác là tuỳ thuộc vào việc nâng cao năng suất lao động nông nghiệp.

Cơ cấu kinh tế của đất nước phải gắn liền với phát triển kinh tế đối ngoại. Trong thời đại ngày nay cuộc cách mạng khoa học - công nghệ phát triển nhanh chóng chưa từng thấy. Phát triển kinh tế của mỗi nước gắn liền sự hợp tác với các nước khác phản ánh tính quy luật. Trong điều kiện nền kinh tế chủ yếu là nông nghiệp, việc khai thác các tiềm năng lao động, đất đai, rừng, biển, ngành nghề để tăng nhanh khối lượng nông sản phẩm hàng hoá, đặc biệt những sản phẩm để xuất khẩu có ý nghĩa quan trọng trong việc sử dụng đầy đủ và hợp lý nguồn lao động nước ta.

Phân bổ lao động hợp lý giữa các vùng là biện pháp quan trọng để sử dụng đầy đủ và hợp lý nguồn nhân lực trong nông nghiệp nước ta. Thực hiện việc phân bố lao động đòi hỏi phải kết hợp chặt chẽ lao động với các nguồn tài nguyên và tư liệu sản xuất sẵn có trong từng vùng khác nhau trên phạm vi cả nước để khai thác có hiệu quả các tiềm năng đó, tạo ra nhiều ngành mới, nhiều vùng chuyên môn hoá kết hợp với phát triển tổng hợp, làm cho nền kinh tế cả nước phát triển một cách đồng đều.

Việc điểu chỉnh sức lao động từ nơi đông đến những vùng thưa dân trong từng tỉnh, trong mỗi huyện có ý nghĩa thiết thực trong việc sử dụng nguồn nhân lực trong nội bộ địa phương mình. Đồng thời phải chú ý điều chỉnh sức lao động giữa các vùng hợp lý hơn.

Để thực hiện nhiệm vụ đó yêu cầu trước hết đối với từng tỉnh, từng huyện, cũng như từng doanh nghiệp nông nghiệp phải nắm chắc nhân lực và nhu cầu lao động. Dân số là cơ sở của nguồn nhân lực. Vì vậy, kế hoạch hoá nguồn nhân lực phải gắn liền với kế hoạch hoá dân số. Trong khi dân số tăng lên khá nhanh, thu nhập quốc dân bình quân đầu người còn thấp, vì vậy phải thực hiện kế hoạch hoá dân số và coi đó là cuộc vận động lớn có ý nghĩa chiến lược về kinh tế xã hội.

Thực hiện biện pháp kết hợp chặt chẽ giữa thâm canh, khai hoang và tăng vụ, phát triển chăn nuôi và đẩy mạnh công tác trồng rừng và tu bổ rừng có ý nghĩa quan trọng trong việc sử dụng đầy đủ và hợp lý nguồn nhân lực trong nông nghiệp nước ta.

Nền nông nghiệp phát triển theo định hướng xã hội chủ nghĩa chủ yếu dựa vào việc thực hiện tái sản xuất mở rộng bằng con đường thâm canh. Để thực hiện con đường thâm canh cần phải đầu tư thêm lao động quá khứ và lao động sống trên một đơn vị diện tích ruộng đất một cách hợp lý. Điều đó tạo ra điều kiện thuận lợi để sử dụng đầy đủ và hợp lý nguồn nhân lực trong nông nghiệp.

Thực hiện khai hoang và tăng vụ để mở rộng thêm diện tích trồng trọt, nâng cao trình độ đảm bảo ruộng đất, mở rộng phạm vi hoạt động tạo điều kiện sử dụng lao động tốt hơn.

Trong nông nghiệp nước ta, chăn nuôi phát triển chậm so với ngành trồng trọt. Nhiệm vụ của nền nông nghiệp nước ta là phải phát triển mạnh cả hai ngành, nhưng tốc độ phát triển ngành chăn nuôi phải nhanh hơn tốc độ phát triển ngành trồng trọt. Thực hiện nhiệm vụ đó cho phép thu hút một bộ phận lao động đáng kể ở nông thôn.

Phân phối sức lao động để phát triển nghề rừng, trồng rừng và tu bổ rừng, đặc biệt rừng phòng hộ, rừng làm nguyên liệu và cung cấp cho xuất khẩu có ý nghĩa to lớn đối với phát triển nông lâm nghiệp nước ta.

Phát triển công nghiệp nông thôn bao gồm cả tiểu thủ công nghiệp, phát triển dịch vụ nông thôn có ý nghĩa quan trọng trong việc sử dụng nguồn nhân lực, phát triển sản xuất và nâng cao đời sống người lao động nông thôn. Phát triển các ngành nghề ở nông thôn là để sản xuất nguyên liệu, công cụ sản xuất, thực hiện chế biến, dịch vụ đời sống,v.v.. Một bộ phận lao động nông nghiệp chưa có việc làm có thể làm dịch vụ trong các ngành khác. Trong việc phát triển ngành nghề nông thôn cần phải tạo ra từng bước những người có nghề và hình thành các làng nghề.

Đẩy mạnh hơn nữa việc trang bị cho người lao động những tư liệu sản xuất cần thiết; đảm bảo cả về số lượng, chất lượng và chủng loại công cụ sản xuất.

Cải tiến tổ chức lao động, thực hiện thù lao lao động đúng đắn, áp dụng những đòn bẩy kinh tế để kích thích lao động, tổ chức tốt và từng bước nâng cao đời sống của người lao động là biện pháp thiết thực để sử dụng hợp lý nguồn lao động trong nông nghiệp.

Phải thực hiện biện pháp nâng cao trình độ văn hoá, trình độ kỹ thuật, trình độ nghiệp vụ của người lao động. Để thực hiện biện pháp này cần phải cải cách toàn bộ hệ thống giáo dục và đào tạo quốc dân phù hợp với nền kinh tế hàng hoá nhiều thành phần, có sự hoạt động của thị trường lao động. Sự hình thành thị trường sức lao động trong nền kinh tế sản xuất hàng hoá nhiều thành phần được sự hướng dẫn và bảo vệ của Nhà nước và luật pháp. Sự hình thành đó mở ra khả năng để người lao động tạo việc làm làm theo luật định. Cần mở rộng hệ thống các trung tâm đào tạo và hình thành và phát triển các trung tâm giới thiệu việc làm.

Nhà nước cần phải đổi mới và từng bước hoàn thiện hệ thống cơ chế chính sách, hoàn thiện hệ thống pháp luật để đảm bảo giải phóng thực sự nguồn nhân lực. Trong đó cần đặc biệt chú ý chính sách và luật về tự do kinh doanh, tự do lao động và di chuyển lao động, góp vốn và huy động vốn, quyền sử dụng đất đai, quyền thừa kế tài sản, thực hiện tốt hợp đồng lao động và luật lao động của nước ta.

sử dụng nguồn lực vốn trong nông nghiệp

Vai trò và đặc điểm của vốn sản xuất trong nông nghiệp.

Vốn là nguồn lực hạn chế đối với các ngành kinh tế nói chung, nông nghiệp nói riêng. Vốn sản xuất vận động không ngừng từ phạm vi sản xuất sang phạm vi lưu thông và trở về sản xuất. Hình thức của vốn sản xuất cũng thay đổi từ hình thức tiền tệ sang hình thức tư liệu sản xuất và tiền lương cho nhân công đến sản phẩm hàng hoá và trở lại hình thức tiền tệ v.v. Như vậy vốn sản xuất trong nông nghiệp là biểu hiện bằng tiền của tư liệu lao động và đối tượng lao động được sử dụng vào sản xuất nông nghiệp.

Do tính đặc thù của sản xuất nông nghiệp, vốn sản xuất nông nghiệp có những đặc điểm sau:

Trong cấu thành vốn cố định, ngoài những tư liệu lao động có nguồn gốc kỹ thuật còn bao gồm cả tư liệu lao động có nguồn gốc sinh học, như cây lâu năm, súc vật làm việc, súc vật sinh sản. Trên cơ sở những tính quy luật sinh học, các tư liệu lao động này thay đổi giá trị sử dụng của mình khác với tư liệu lao động có nguồn gốc kỹ thuật.

Sự tác động của vốn sản xuất vào quá trình sản xuất và hiệu quả kinh doanh của nó không phải bằng cách trực tiếp mà thông qua đất, cây trồng, vật nuôi. Cơ cấu và chất lượng của vốn sản xuất phải phù hợp với yêu cầu của từng loại đất đai, từng đối tượng sản xuất là sinh vật.

Chu kỳ sản xuất dài và tính thời vụ trong nông nghiệp một mặt làm cho sự tuần hoàn và luân chuyển chậm chạp, kéo dài thời gian thu hồi vốn cố định, tạo ra sự cần thiết phải dự trữ đáng kể trong thời gian tương đối dài của vốn lưu động và làm cho vốn ứ đọng. Mặt khác sự cần thiết và có khả năng tập trung hoá cao về phương tiện kỹ thuật trên một lao động nông nghiệp so với công nghiệp.

Sản xuất nông nghiệp còn lệ thuộc vào nhiều điều kiện tự nhiên, nên việc sử dụng vốn gặp nhiều rủi ro, làm tổn thất hoặc giảm hiệu quả sử dụng vốn.

Một bộ phận sản xuất nông nghiệp không qua lĩnh vực lưu thông mà được chuyển trực tiếp làm tư liệu sản xuất cho bản thân ngành nông nghiệp, do vậy vòng tuần hoàn vốn sản xuất được chia thành vòng tuần hoàn đầy đủ và không đầy đủ. Vòng tuần hoàn không đầy đủ là vòng tuần hoàn của một bộ phận vốn không được thực hiện ở ngoài thị trường và được tiêu dùng trong nội bộ nông nghiệp khi vốn lưu động được khôi phục trong hình thái hiện vật của chúng. Vòng tuần hoàn đầy đủ yêu cầu vốn lưu động phải trải qua tất cả các giai đoạn, trong đó có giai đoạn tiêu thụ sản phẩm.

Vốn cố định trong nông nghiệp

* Khái niệm và đặc điểm.

Tư liệu lao động là điều kiện vật chất không thể thiéu được trong hoạt động sản xuất kinh doanh. Có nhiều loại tư liệu lao động và công dụng của mỗi loại không giống nhau, nhưng chúng đều có tính chất chung là giữ vai trò môi giới trong quá trình lao động, tạo nên sự kết hợp giữa người lao động và đối tượng lao động. Để tiến hành kinh doanh sản xuất cần thiết phải ứng trước một số tiền vốn nhất định để mua sắm tư liệu lao động. Trong quá trình sản xuất, tư liệu lao động không thay đổi hình thái vật chất ban đầu và tham gia vào nhiều chu kỳ sản xuất sản phẩm mới theo mức độ hao mòn. Vốn đầu tư ban đầu thu hồi từng phần sau mỗi chu kỳ sản xuất thông qua quỹ khấu hao. Tài sản cố định hết thời hạn sử dụng sẽ được thanh lý đào thải. Do đặc điểm trong quá trình luân chuyển, hình thái vật chất của tư liệu lao động được gọi là tài sản cố định và phần vốn ứng trước được gọi là vốn cố định. Là tài sản cố định phải có đủ hai điều kiện: đạt giá trị tối thiểu theo quy định và thời hạn sử dụng phải trên một năm. Giá trị tối thiểu tuỳ thuộc từng thời kỳ Bộ tài chính có quy định cụ thể.

Như vậy vốn cố định là số vốn ứng trước để mua sắm tư liệu lao động chủ yếu hoạt động trong lĩnh vực nông nghiệp. Phương thức luân chuyển và bù đắp giá trị của nó là chuyển dần từng phần giá trị vào sản phẩm mới đến khi tư liệu lao động hết thời hạn sử dụng thì vốn cố định kết thúc quá trình luân chuyển.

* Phân loại đánh giá vốn cố định.

Vốn cố định được phân loại theo chức năng (sản xuất và phi sản xuất vật chất). Theo công dụng của từng yếu tố (tư liệu lao động cơ khí, tư liệu lao động sinh học, điều kiện vật chất của lao động v.v.) hoặc theo cơ cấu các ngành sản xuất trong nông nghiệp.

Có thể sử dụng 5 phương pháp sau để đánh giá vốn cố định; phương pháp đánh giá theo giá trị ban đầu hoàn toàn, theo giá khôi phục hoàn toàn, theo giá trị ban đầu trừ phần đã hao mòn, theo giá trị khôi phục trừ phần đã hao mòn và theo giá cố định.

Tái sản xuất vốn cố định.

Trong quá trình sản xuất nông nghiệp, tất cả tài sản cố định đều bị hao mòn hữu hình và hao mòn vô hình. Sự hao mòn hữu hình là sự hao mòn vật chất dưới dạng hình thức cọ xát, biến dạng, hư hỏng, bị ăn mòn. Những chỉ tiêu kinh tế kỹ thuật đối với tư liệu cơ khí và khả năng sinh sản của chúng (đối với tư liệu sinh học) bị thay đổi, đặc tính, hiệu suất, và độ tin cậy của tài sản cố định chuyển dần vào những sản phẩm đã được sản xuất ra trong quá trình sản xuất.

Hao mòn vô hình là sự hao mòn làm giảm giá trị của tài sản cố định do tiến bộ khoa học - công nghệ. Tài sản cố định bị giảm giá là do người ta đã sản xuất những tư liệu lao động cùng một chức năng nhưng hiện đại hơn về công nghệ, có năng suất cao hơn hoặc giá thành rẻ hơn. Hao mòn vô hình là tất yếu khách quan, đặc biệt trong điều kiện ngày nay cuộc cách mạng khoa học - công nghệ đang phát triển với nhịp độ nhanh chóng và tác động mạnh mẽ vào nông nghiệp kéo theo sự thay đổi sâu sắc về tư liệu lao động. Vì vậy trong thực tiễn sản xuất, vấn đề đặt ra là phải giảm thấp sự tổn thất do sự hao mòn vô hình các tài sản cố định bằng cách mua sắm những tư liệu lao động có trình độ kỹ thuật cao, đảm bảo sử dụng đem lại hiệu quả lớn và tiến hành khấu hao hết trước khi thanh lý.

Tái sản xuất tài sản cố định chủ yếu thực hiện bằng hai phương thức:

- Thông qua quỹ khấu hao:

Quỹ khấu hao được hình thành trên cơ sở trích khấu hao hàng năm. Mục đích chủ yếu là để tái sản xuất giản đơn tư liệu lao động, nhưng trên thực tế nó thực hiện chức năng tái sản xuất mở rộng, vì rằng đến khi khấu hao hoàn toàn tài sản cố định, quỹ khấu hao này được sử dụng để xây dựng tài sản cố định mới.

Khi tiến hành khấu hao tài sản cố định phải đảm bảo các yêu cầu sau:

Bù đắp đủ giá trị tài sản cố định đã hao mòn trong quá trình sử dụng.

Các bộ phận cấu thành của tài sản cố định thường có nhịp độ hao mòn không giống nhau. Muốn duy trì hoạt động của máy móc lâu dài phải chi thêm một khoản tiền sửa chữa lớn. Sau khi không còn khả năng sử dụng, tài sản cố định sẽ được thanh lý, phần giá trị này gọi là giá trị đào thải.

Như vậy, phần giá trị khấu hao thu được hàng năm gồm có hai phần và chuyển thành các loại quỹ: quỹ khấu hao cơ bản và quỹ khấu hao sữa chữa lớn.

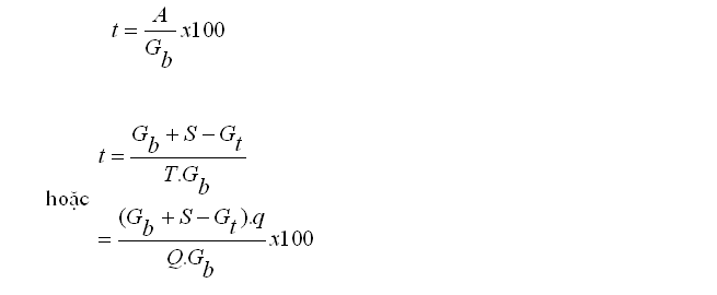
Công thức khấu hao chung như sau:

hoặc

Trong đó:

A: Mức khấu hao hàng năm

Gb: Giá trị ban đầu hoàn toàn của tài sản cố định

S: Chi phí sửa chữa lớn

Gt: Giá trị đào thải tài sản cố định

T: Thời gian sử dụng

Q: Khối lượng sản phẩm có thể sản xuất ra trong thời kỳ tồn tại của tài sản cố định.

q: Khối lượng sản phẩm sản xuất ra trong năm tính toán.

Tùy thuộc vào từng loại tài sản cố định mà vận dụng công thức tính khấu hao theo thời gian sử dụng hoặc theo khối lượng sản phẩm có thể sản xuất ra. Chẳng hạn đối với cây lâu năm có thể tính khấu hao theo sản lượng, đối với máy kéo tính theo khối lượng công việc hoàn thành... Để đơn giản trong tính toán, cần phải xác định tỷ lệ khấu hao hàng năm cho từng loại sản phẩm cố định. Dựa vào tỷ lệ đó để xác định mức khấu hao và phân bổ vào giá thành sản phẩm.

Tỷ lệ khấu hao hàng năm với giá trị ban đầu hoàn toàn của tài sản cố định, ta có công thức:

Tỷ lệ khấu hao cơ bản, tính theo công thức sau:

Tỷ lệ khấu hao sửa chữa lớn, tính theo công thức:

Hoặc :

- Thông qua đầu tư xây dựng cơ bản.

Đầu tư xây dựng cơ bản là bỏ vốn để mua sắm và xây dựng tài sản cố định mới cho nông nghiệp. Việc mua sắm chủ yếu là máy móc, trang thiết bị, xây dựng cơ bản bao gồm việc trồng mới và chăm sóc vườn cây lâu năm, đàn súc vật hậu bị, nhà kho, sân phơi, công trình thủy lợi.... Vốn đầu tư còn để khôi phục, hiện đại tài sản cố định đang hoạt động. Như vậy, vốn đầu tư xây dựng cơ bản là một trong những nguồn gốc chủ yếu để tái sản xuất vốn cố định.

Hiệu quả sử dụng vốn cố định.

Hiệu quả kinh tế là sự hiểu hiện của mối quan hệ giữa kết quả lượng sản phẩm thu được với lượng vốn đã bỏ ra. Nâng cao hiệu quả sử dụng vốn cố định biểu hiện ở mỗi đơn vị vốn bỏ ra nhận được lượng kết quả lớn hơn hoặc với lượng kết quả như thế nhưng cần lượng vốn ít hơn. Vì vậy, hiệu quả sản xuất nông nghiệp gắn liền với hiệu quả sử dụng ruộng đất - Trên một đơn vị diện tích sản xuất được nhiều sản phẩm với chi phí thấp hơn trên mỗi đơn vị sản phẩm. Hiệu quả sử dụng vốn cố định là bộ phận của hiệu quả sản xuất nông nghiệp được biểu hiện thông qua mối quan hệ của lượng sản phẩm thu được trên một đồng vốn đã bỏ ra.

Để đánh giá hiệu quả kinh tế của vốn cố định, có thể sử dụng một hệ thống các chỉ tiêu sau đây:

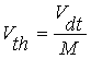
  • Dung lượng vốn cố định: Là lượng vốn cố định cần thiết để sản xuất ra một đơn vị sản lượng. Ta có công thức:

Việc hạ thấp mức vốn cố định để sản xuất ra một đơn vị giá trị sản lượng là biểu hiện sự tăng lên của hiệu quả sử dụng vốn cố định trong nông nghiệp, cũng như trong từng ngành trồng trọt và chăn nuôi.

- Năng suất lao động:

Trong nông nghiệp năng suất lao động tính theo công thức:

Trong đó: N: Là năng suất lao động

P: Là giá trị sản xuất (theo giá cố định)

T: Là số lượng lao động bình quân trong năm

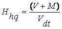
Giữa năng suất lao động và mức vốn trang bị cho lao động (vốn cố định tính bình quân cho một lao động nông nghiệp) và dung lượng vốn cố định có mối quan hệ mật thiết với nhau. Hiệu quả sử dụng vốn cố định tăng lên chừng nào mức tăng năng suất lao động nhanh hơn mức vốn trang bị cho lao động và mức tăng giá trị sản xuất tính trên đồng vốn cố định. Mối quan hệ đó có thể được biểu thị bằng công thức:

Trong đó:

Vcd: Vốn cố định

Năng suất ruộng đất. Là mối quan hệ giữa giá trị sản xuất nông nghiệp tính cho một đơn vị diện tích ruộng đất, có thể tính theo công thức:

Trong đó: S là diện tích ruộng dất.

Năng suất ruộng đất có quan hệ mật thiết với mức bảo đảm vốn cho đơn vị diện tích (vốn cố định tính bình quân cho một đơn vị diện tích) và dung lượng vốn cố định. Năng suất ruộng đất tăng lên phụ thuộc vào hai yếu tố: Tăng mức bảo đảm vốn cho đơn vị diện tích và hạ thấp vốn cố định để sản xuất ra một đơn vị giá trị sản xuất.

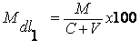
- Mức doanh lợi: Là chỉ tiêu phản ánh hiệu quả sản xuất nói chung và cũng là hiệu quả sử dụng vốn sản xuất (bao gồm vốn cố định và vốn lưu động) mức doanh lợi được tính theo hai cách.

+ Các thứ nhất: Là quan hệ về lượng thu nhập thuần tuý với chi phí sản xuất, ta có công thức:

Trong đó: M: Thu nhập thuần tuý

C: Chi phí vật chất

V: Chi phí lao động

+ Cách thứ hai: Là quan hệ về lượng thu nhập thuần tuý với tổng số vốn sản xuất (vốn cố định, vốn lưu động và trừ phần khấu hao) ta có công thức:

Trong đó:

Vcd: Vốn cố định

Vld: Vốn lưu động

k: Giá trị khấu hao tài sản cố định

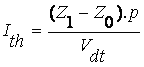
- Thời hạn thu hồi vốn cố định:

Thời hạn thu hồi vốn cố định được xác định bởi lượng vốn cố định trung bình với lượng thu nhập thuần tuý trung bình hàng năm, tính theo công thức:

Thời hạn thu hồi vốn cố định cần được rút ngắn bằng cách nâng cao năng suất lao động và tăng sự chênh lệch giá thành và giá tiêu thụ sản phẩm - nghĩa là tăng thu nhập thuần túy. Điều đó chứng tỏ hiệu quả sử dụng vốn được nâng cao, vì lượng thu nhập thuần tuý lớn hơn được sử dụng để bổ sung cho vốn cố định mới.

Vốn đầu tư cơ bản.

- Khái niệm

Vốn đầu tư cơ bản là tổng hợp các chi phí để tái sản xuất tài sản cố định. Nó nhằm xây dựng những tài sản cố định mới, mở rộng, xây dựng và hoàn thiện kỹ thuật của tài sản cố định hiện có để hiện đại hoá công cụ sản xuất và áp dụng những quy trình kỹ thuật mới. Chi phí xây dựng cơ bản trong nông nghiệp có thể chia thành ba nhóm: chi phí về xây dựng, chi phí về mua sắm máy móc thiết bị và chí phí xây dựng cơ bản khác.

Vốn đầu tư cơ bản là nguồn gốc chủ yếu để xây dựng vốn cố định. Song giữa vốn đầu tư cơ bản và vốn cố định có sự khác nhau về số lượng và chất lượng. Về số lượng, không phải tất cả vốn đầu tư cơ bản được thực hiện đều phản ánh trong giá trị của vốn cố định. Về mặt chất lượng, vốn cố định là vốn đầu tư cơ bản được sử dụng vào sản xuất. Nghĩa là vốn đầu tư đã được mua sắm máy móc, thiết bị , xây dựng các công trình, vườn cây lâu năm, đàn gia súc cơ bản... còn vốn đầu tư cơ bản mới là vốn cố định tiềm tàng.

Thực hiện đầu tư cơ bản là biện pháp chủ yếu để phát triển kinh tế quốc dân, trong đó có nông nghiệp. Phương hướng đầu tư đúng đắn có tác dụng quyết định trong việc nâng cao năng suất lao động, hạ giá thành sản phẩm, tăng nhanh khối lượng nông sản, tăng tích luỹ..

Đầu tư vốn cơ bản có thể thực hiện theo hai phương thức: chiều rộng và chiều sâu. Đầu tư vốn theo chiều rộng là đầu tư gắn liền với việc tăng tài sản cố định trên cơ sở trình độ kỹ thuật và công nghệ hiện có. Đầu tư theo chiều sâu gắn với việc tăng tài sản cố định trên cơ sở áp dụng kỹ thuật mới và hiện đại.

- Hiệu quả vốn đầu tư.

Hiệu quả vốn đầu tư cơ bản được xem xét trên hai mặt: Hiệu quả chung (tuyệt đối) và hiệu quả so sánh. Hiệu quả chung của vốn đầu tư phản ánh quan hệ giữa lượng giá trị sản lượng, tổng thu nhập và thu nhập thuần tuý với vốn đầu tư cơ bản. Nó còn được xem xét trong phần tăng thêm của giá trị sản lượng, tổng thu nhập và thu nhập thuần tuý với phần đầu tư bổ sung. Hiệu quả so sánh phản ánh hiệu quả của phương án này so với phương án khác. Nó có thể tính chung hiệu quả cho cả ngành nông nghiệp, cho từng tiểu ngành trên phạm vi cả nước, từng địa phương, từng xí nghiệp.

Để đánh giá hiệu quả vốn đầu tư cơ bản trong nông nghiệp có thể sử dụng hệ thống chỉ tiêu dưới đây:

+ Hệ số hiệu quả vốn đầu tư: là quan hệ giữa tổng thu nhập và vốn đầu tư, nghĩa là lượng tổng thu nhập được tạo ra do một đồng vốn đầu tư, tinh theo công thức:

Trong đó: Hhq: Hệ số hiệu quả vốn đầu tư.

V+ M : Tổng thu nhập

Vdt : Vốn đầu tư.

Người ta còn sử dụng chỉ tiêu hệ số hiệu quả vốn đầu tư bổ sung, là quan hệ giữa lượng tổng thu nhập bổ sung so với lượng vốn đầu tư bổ sung, tính theo công thức:

Trong đó: Hhp : Hệ số hiệu quả đầu tư bổ sung

(V + M) : Tổng thu nhập bổ sung

Vdt : Lượng vốn đầu tư bổ sung.

- Giá trị sản lượng tăng bổ sung trên một đơn vị chi phí sản xuất (bao gồm chi phí vật chất và lao động) bổ sung, tính theo công thức.

Trong đó:

P : Giá trị sản lượng bổ sung

P1 : Giá trị sản lượng thu được sau khi đầu tư bổ sung

P0 : Giá trị sản lượng thu được trước khi đầu tư bổ sung

C1 : Chi phí vật hoá sau khi đầu tư bổ sung

Cơ0 : Chi phí vật hoá trước khi đầu tư bổ sung

V1 : Chi phí lao động sau khi đầu tư bổ sung

V0 : Chi phí lao động trước khi đầu tư bổ sung

Chỉ tiêu này phản ánh hiệu quả đầu tư vốn thông qua việc tiết kiệm lao động sống và lao động vật hoá trên đơn vị sản phẩm.

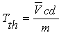
+ Lượng chi phí tiết kiệm trên một đồng vốn đầu tư, tính theo công thức:

Trong đó: Ith: Lượng chi phí tiết kiệm trên một đồng vốn đầu tư.

Z1 : Giá thành sản phẩm sau khi đầu tư vốn

Z0 : Giá thành sản phẩm trước khi đầu tư vốn

P : Giá trị sản lượng

Vdt : Vốn đầu tư

Chỉ tiêu tiết kiệm lượng chi phí trên một đồng vốn đầu tư thường được sử dụng rộng rãi trong trường hợp xác định hiệu quả vốn đầu tư cho từng mặt, từng phương hướng cụ thể.

- Thời hạn thu hồi vốn đầu tư, tính theo công thức:

Thời gian thu hồi vốn đầu tư có ý nghĩa to lớn. Thời hạn thu hồi ngắn thì hiệu quả đầu tư đạt cao. Chỉ tiêu này thường sử dụng khi xác định hiệu quả so sánh và lựa chọn phương án.

Vốn lưu động trong nông nghiệp.

Khái niệm và cơ cấu của vốn lưu động trong nông nghiệp.

Muốn tiến hành sản xuất kinh doanh, ngoài vốn cố định, các xí nghiệp nông nghiệp còn cần có vốn lưu động. Trong quá trình sản xuất, một bộ phận của đối tượng lao động chuyển vào sản phẩm mới (nguyên liệu) hoặc bị tiêu phí hoàn toàn và biến mất hình thái vật chất của mình (nhiên liệu). Giá trị của đối tượng lao động kết hợp với giá trị lao động sống và chuyển vào sản phẩm mới được sản xuất, sau đó chuyển sang hình thái tiền tệ. Như vậy, vốn lưu động đã chuyển từ phạm vi sản xuất (dự trữ sản xuất) sang phạm vi lưu thông (thành phẩm, tiền thu được do tiêu thu sản phẩm) sau đó lại quay về phạm vi sản xuất (dự trữ mới cho sản xuất). Theo phương thức đó, toàn bộ vốn lưu động được sử dụng trong mỗi chu kỳ sản xuất cụ thể và thay đổi hình thức vật chất của mình.

Vậy, vốn lưu động là vốn bằng tiền ứng trước để dự trữ cho sản xuất, để mua sắm vật rẻ tiền mau hỏng và hình thành vốn lưu thông nhằm đảm bảo cho quá trình sản xuất và tiêu thu hàng hoá diễn ra một cách bình thường.

Theo tính chất tham gia của các yếu tố vào quá trình sản xuất, vốn lưu động được chia thành ba bộ phận, bao gồm: Vốn lưu động dữ trữ cho quá trình sản xuất, vốn lưu động dùng trong quá trình sản xuất và vốn lưu động dùng trong quá trình lưu thông.

- Vốn lưu động dữ trữ cho quá trình sản xuất là biểu hiện bằng tiền toàn bộ nguyên nhiên vật liệu, phân bón, thuốc trừ sâu, vật tư cho sản xuất phụ, phu tùng dự trữ v.v.. Chuẩn bị cho vụ sản xuất sau và những vật tư bảo hiểm nhằm đảm bảo cho quá trình sản xuất có thể tiến hành một cách liên tục. Vốn lưu động nằm trong quá trình dữ trữ và bảo hiểm sản xuất được phân thành ba loại: Loại dự trữ cho bản thân xí nghiệp nông nghiệp tạo ra, bao gồm: giống cây trồng, vật nuôi, thức ăn gia súc, phân bón hữu cơ... Loại thứ hai là những dự trữ mua từ ngoài vào, bao gồm: Phân bón, thuốc trừ sâu, phụ tùng thay thế nhiên liệu, dầu mỡ v.v... Và loại cuối cùng là những dự trữ sản xuất do các xí nghiệp nông nghiệp vay tiền ngân hàng mua vật tư kỹ thuật. Do đặc điểm của sản xuất nông nghiệp, vốn lưu động dữ trữ và bảo hiểm sản xuất cần đảm bảo mức dự trữ cần thiết để hoạt động được bình thường. Bản chất của dự trữ cũng có hai mặt: Một mặt nó đảm bảo cho quá trình sản xuất được tiến hành thuận lợi và liên tục. Mặt khác, dự trữ làm giảm bớt tính linh hoạt và tính tích cực của vốn lưu động trong hoạt động sản xuất kinh doanh của xí nghiệp. Như vậy cần xác định mức dự trữ tối thiểu nhưng vẫn đảm bảo cho xí nghiệp hoạt động bình thường.

- Vốn lưu động trong quá trình sản xuất là biểu hiện bằng tiền của những sản phẩm sản xuất dở dang, bán thành phẩm và những chi phí chờ phân bổ của ngành trồng trọt, chăn nuôi và ngành nghề. Chi phí sản xuất dở dang là chi phí sản xuất đã bỏ ra cho các sản phẩm đang sản xuất mà chưa có thu hoạch. Chi phí chờ phân bổ là khoản chi phí đã bỏ ra cho các ngành sản xuất các sản phẩm thu hoạch trong năm đó, như chi phí cải tạo và kiến thiết đồng ruộng, chi phí vật rẻ tiền mau hỏng... Việc tăng vốn lưu động dùng trong quá trình sản xuất được coi là hợp lý nếu nó thúc đẩy làm tăng khối lượng công việc hoàn thành, chứ không phải do tăng từng đơn vị khối lượng công việc.

- Vốn lưu động nằm trong quá trình lưu thông gồm có những khoản nông sản hàng hoá, vốn bằng tiền và vốn trong thanh toán.

Cơ cấu vốn lưu động phụ thuộc vào chuyên môn hoá sản xuất ở một địa phương, mỗi vùng của đất nước và nó sẽ thay đổi tuỳ thuộc vào sự phát triển của cơ sở vật chất - kỹ thuật trong nông nghiệp.

Vốn lưu động trong xí nghiệp nông nghiệp không ngừng tăng lên, trong đó phần vốn nằm trong lĩnh vực sản xuất thường tăng vượt so với phần vốn trong lĩnh vực lưu thông. Với sự phát triển của cơ sở vật chất - kỹ thuật trong nông nghiệp kèm theo sự tăng lên của vốn lưu động cần cho dự trữ về phụ tùng thay thế và sửa chữa, phân bón hoá học v.v. Có thể hạ thấp tỷ trọng vốn lưu động giành cho dự trữ các loại vật tư bằng cách cải thiện công tác cung ứng vật tư kỹ thuật. Phần vốn lưu động trong lĩnh vực lưu thông hàng năm cũng tăng lên. Số tăng tuyệt đối của vốn lưu động trong giai đoạn lưu thông là kết quả của nền nông nghiệp thâm canh. ở đây cần lưu ý hình thức tích cực, cơ động của vốn lưu động trong lưu thông là tiền mặt có ở tài khoản gửi ngân hàng, vì nó chứng tỏ đã hoàn thành chu kỳ sản xuất và bắt đầu chu kỳ sản xuất mới.

Hiệu quả kinh tế sử dụng vốn lưu động trong xí nghiệp.

Trong xí nghiệp nông nghiệp, vốn lưu động đảm bảm tính không ngừng của quá tình tái sản xuất, nó nhằm thực hiện sự tiết kiệm lớn nhất về vốn và chi phí tối thiểu về tài sản lưu động.

Vốn lưu động khi tham gia trong quá trình sản xuất đã thực hiện vòng tuần hoàn không ngừng. Nó liên tục trải qua các giai đoạn khác nhau của vòng tuần hoàn với sự thay đổi về hình thức tiền tệ, hình thức sản xuất và hình thức hàng hoá. Sau khi kết thúc vòng tuần hoàn thứ nhất, lại bắt đầu vòng tuần hoàn thứ hai và tiếp theo. Mỗi vòng tuần hoàn là một chu chuyển hoặc một vòng quay của vốn lưu động là vận động không ngừng.

Biểu hiện cụ thể của chu chuyển vốn lưu động là tốc độ vận động của nó, một mặt phản ánh số vòng quay của vốn lưu động và mặt khác phản ánh độ dài thời gian của một vòng quay. Tốc độ chu chuyển của vốn lưu động thể hiện kết quả sử dụng vốn lưu động, đặc trưng cho việc tổ chức quá trình sản xuất, tổ chức tiêu thụ sản phẩm và tổ chức cung ứng tư liệu sản xuất. Tốc độ chu chuyển của vốn lưu động qua các giai đoạn của quá trình sản xuất lưu thông càng lớn bao nhiêu thì lượng vốn lưu động cần cho quá trình sản xuất và tiêu thụ sản phẩm ngày càng ít bấy nhiêu và hiệu quả sử dụng vốn lưu động càng cao bấy nhiêu.

Từ những quan điểm nêu trên, những chỉ tiêu đánh giá hiệu quả sử dụng vốn lưu động thông qua các chỉ tiêu xác định tốc độ chu chuyển vốn lưu động.

- Hệ số luân chuyển, xác định theo công thức sau.

Trong đó:

H : Hệ số luân chuỷen

Ptt : Giá trị sản lượng tiêu thụ

Bldbq : Số dư vốn lưu động bình quân

Hệ số luân chuyển phản ánh quan hệ so sánh hai đại lượng; Giá trị sản lượng tiêu thụ và số dư vốn lưu động bình quân. Nó phản ánh số vòng quay của vốn lưu động trung bình trong năm, số vòng quay càng lớn càng tốt.

- Hệ số đảm bảo là chỉ tiêu nghịch đảo của hệ số luân chuyển, là quan hệ so sánh giữa số dư vốn lưu động cần thiết để tạo ra một hoặc 1000 đồng giá trị sản lượng thực hiện. Hệ số này càng nhỏ càng tốt, theo công thức sau:

- Độ dài vòng quay của vốn lưu động, theo công thức sau:

V

= 360 ngày

= 360. Vldbq

Ptt Ptt

Vldbq

Trong đó:

Vq : Độ dài vòng quay (tính theo đơn vị ngày)

Ptt : Số vòng quay trung bình của vốn lưu động

Vldba : Vốn lưu động bình quân.

Trong quá trình sử dụng vốn lưu động, nếu số vòng quay của vốn tăng lên, độ dài thời gian của mỗi vòng quay ngắn thì vốn lưu động được giải phóng nhanh, tức là hiệu quả sử dụng vốn lưu động được tăng lên.

Biện pháp tạo vốn và sử dụng có hiệu quả vốn sản xuất trong nông nghiệp.

Biện pháp tạo vốn.

Vốn, huy động vốn luôn luôn là vấn đề có tính quyết định đến sự phát triển kinh tế nói chung và hoạt động của các xí nghiệp, trang trại, hộ nông dân nói riêng. Cơ chế bao cấp vốn kéo dài trong nhiều năm đã làm cho doanh nghiệp nông nghiệp ỷ lại và dựa vào nguồn vốn cấp phát của ngân sách và vốn vay ngân hàng, chưa huy động các nguồn vốn khác để đầu tư phát triển sản xuất. Thiếu vốn đã gây nhiều trở ngại đối với sản xuất nông nghiệp. Quá trình chuyển từ bao cấp sang hoạch toán kinh tế, mở rộng quyền tự chủ tài chính của xí nghiệp, vấn đề tạo vốn và huy động vốn đáp ứng yêu cầu sản xuất nông nghiệp, cần thực hiện các biện pháp chủ yếu sau đây:

- Phát huy sức mạnh tổng hợp của nền kinh tế nhiều thành phần để tạo vốn cho sản xuất nông nghiệp.

Sử dụng các thành phần kinh tế vào việc đẩy mạnh sản xuất nông nghiệp hàng hoá cho phép khai thác có hiệu quả các nguồn vốn để đầu tư phát triển nông nghiệp. Cùng với việc khai thác tiềm năng vốn sẵn có trong các thành phần kinh tế, đẩy mạnh quá trình liên doanh, liên kết giữa các thành phần kinh tế nhằm khai thác và sử dụng có hiệu quả tài nguyên về đất đai, khí hậu, lao động, cây trồng và vật nuôi phong phú ở nước ta.

- Thực hiện chuyên môn hoá sản xuất kết hợp phát triển tổng hợp ở từng vùng và trong các xí nghiệp, từng trang trại là biện pháp tạo vốn quan trọng của nông nghiệp.

Do những đặc điểm của sản xuất nông nghiệp, chuyên môn hoá sản xuất nông nghiệp phải kết hợp với phát triển tổng hợp, vừa để lợi dụng đầy đủ điều kiện tự nhiên, tư liệu sản xuất và sức lao động, vừa tạo ra các nguồn thu nhập tương đối đồng đều giữa các tháng trong năm. Đó là biện pháp tạo vốn tại chỗ, đáp ứng kịp thời cho sản xuất và tăng hiệu quả sử dụng vốn.

- Từng bước thực hiện cổ phần hoá trong nông nghiệp...

Tiến hành cổ phần hoá trong nông nghiệp là nhằm đẩy nhanh quá trình tích tụ và tập trung vốn để phát triển sản xuất và lưu thông hàng hoá nông sản. Đồng thời giải quyết tốt cơ chế quản lý vốn, phân định rõ quyền của người sở hữu tài sản, quyền của người sử dụng tài sản và quyền quản lý của Nhà nước, nó còn nâng cao trách nhiệm làm chủ của người sở hữu cổ phần, thúc đẩy hoạt động sản xuất của xí nghiệp có hiệu quả.

Cần tiếp tục nghiên cứu và mở rộng cổ phần hoá ở một số doanh nghiệp nông nghiệp Nhà nước theo hình thức bao gồm: cổ phần hoá Nhà nước, cổ phần doanh nghiệp và cổ phần cá nhân. Đối với nông thôn cải tiến hoạt động của tín dụng nông thôn nhằm thu hút nguồn tiền nhàn rỗi của dân cư vào phát triển sản xuất theo hướng các hộ góp vốn cùng kinh doanh theo kiểu "Công ty cổ phần" trên cơ sở tự nguyện và tự quản theo đúng pháp luật về thể lệ quản lý tiền tệ của Nhà nước.

- Đẩy mạnh hợp tác đầu tư với nước ngoài để thu hút nguồn vốn vào phát triển nông nghiệp.

Tiềm năng nền nông nghiệp nhiệt đới to lớn và đang là môi trường thuận lợi để thu hút nguồn vốn nước ngoài vào hợp tác đầu tư phát triển nông nghiệp, như trồng và chế biến sản phẩm các loại cây đặc sản cà phê, cao su, chè, các loại cây ăn quả, nuôi tôm, chế biến nông, lâm thuỷ sản.v.v.

Những biện pháp chủ yếu để nâng cao hiệu quả sử dụng vốn trong nông nghiệp.

Trong những năm qua Nhà nước đã dành cho nông nghiệp một lượng vốn lớn, hàng năm vốn đầu tư xây dựng cơ bản cho nông nghiệp đã chiếm tỷ lệ đáng kể trong toàn bộ nền kinh tế quốc dân và ngân hàng thương mại đã cho các doanh nghiệp nông nghiệp, các hộ nông thôn, các trang trại vay một khối lượng vốn lớn. Vì thế, nâng cao hiệu quả sử dụng vốn là điều kiện chủ yếu để nâng cao hiệu quả sản xuất nông nghiệp. Để nâng cao hiệu quả sử dụng vốn cần thực hiện các biện pháp chủ yếu sau:

- Trước hết phải xác định đúng đắn phương hướng đầu tư vốn.

Phải xuất phát từ phương hướng bố trí cơ cấu sản xuất nông nghiệp để xác định cơ cấu đầu tư cho phù hợp, trên cơ sở đó lựa chọn phương án đầu tư vốn tối ưu. Nông nghiệp được coi là mặt trận hàng đầu cần tập trung giải quyết nhằm đảm bảo nhu cầu lương thực và thực phẩm cho xã hội, nguyên liệu cho công nghiệp và là nguồn xuất khẩu quan trọng. Vốn xây dựng cơ bản phải tập trung giải quyết những nhiệm vụ to lớn đó, trong từng giai đoạn tập trung vào cây gì, con gì, ở vùng nào là cần được tính toán và lựa chọn một cách đúng đắn.

- Trong đầu tư vốn, phải giải quyết tốt mối quan hệ giữa khôi phục, cải tạo và xây dựng mới một cách hài hoà và có hiệu quả. Đầu tư vốn phải tập trung, thi công dứt điểm sớm đưa vào sản xuất nhằm phát huy tác dụng tốt của vốn đầu tư.

- Xây dựng cơ cấu vốn cố định hợp lý bao gồm cơ cấu vốn cố định có tính chất sản xuất và phi sản xuất vật chất, cơ cấu hợp lý các yếu tố trong vốn cố định để sử dụng đầyđủ và có hiệu quả các tài sản cố định đã được trang bị, tránh tình trạng mất cân đối trong dây chuyền sản xuất, gây nên lãng phí lớn. Thực hiện tốt khấu hao tài sản cố định và quỹ khấu hao. Coi trọng việc cải tạo, trang bị lại máy móc thiết bị nhằm nâng cao năng lực sản xuất và sử dụng có hiệu quả tài sản cố định trong các doanh nghiệp nông nghiệp.

- Xây dựng định mức đúng đắn và quản lý vốn lưu động theo định mức, quản lý tốt vật liệu, sản phẩm dự trữ, dụng cụ thông thường, chi phí sản xuất dở dang, chi phí chờ phân bổ, thành phẩm, tiền mặt v.v..

- Tổ chức tốt việc cung ứng vật tư, đảm bảo vật tư cần thiết và kịp thời, hạn chế vật tư bị ứ động. Phấn đấu hạ thấp chi phí sản xuất trên đơn vị khối lượng công việc và trên đơn vị sản phẩm. Tổ chức tốt việc tiêu thụ sản phẩm và công tác thanh toán để thu hồi vốn kịp thời. Tăng cường công tác kiểm soát tài sản lưu động, nêu cao kỷ luật tài chính, tránh tình trạng chiếm dụng vốn lẫn nhau.

Tóm tắt chương

Tất cả các nguồn tài nguyên hiện đang được sử dụng hoặc có thể được sử dụng vào sản xuất của cải vật chất hoặc dịch vụ được gọi là các yếu tố nguồn lực. Các yếu tố nguồn lực có thể tồn tại dưới hình thái vật chất hoặc dưới hình thái giá trị. Trong nông nghiệp xét theo hình thái hiện vật, các yếu tố nguồn lực bao gồm 5 nhóm yếu tố. Nguồn nhân lực, các phương tiện cơ khí, nguồn lực sinh học, các phương tiện hoá học, nguồn đất đai. Những đặc điểm của các yếu tố nguồn lực sử dụng vào nông nghiệp gắn liền với các đặc điểm của sản xuất nông nghiệp. Các yếu tố nguồn lực có vai trò to lớn trong việc tăng trưởng và phát triển nông nghiệp. Việc sử dụng tiết kiệm và có hiệu quả các yếu tố nguồn lực của sản xuất nông nghiệp là tất yếu khách quan, đòi hỏi các cơ sở nông nghiệp coi trọng việc bảo vệ và phát triển hợp lý, đảm bảo mối quan hệ hài hoà giữa các yếu tố nguồn lực.

Ruộng đất là tư liệu sản xuất chủ yếu trong nông nghiệp, khác với các tư liệu sản xuất khác ở chỗ: số lượng diện tích ruộng đất có hạn nhưng sức sản xuất của ruộng đất không bị giới hạn, có vị trí cố định và chất lượng không đồng đều, không bị hao mòn và đào thải khỏi quá trình sản xuất, nếu sử dụng hợp lý thì chất lượng ruộng đất được nâng lên. Quỹ ruộng đất của Việt Nam không lớn, mức bình quân ruộng đất đầu người thấp, bị phân chia manh mún v.v.. Để nâng cao hiệu quả sử dụng ruộng đất cần thiết phải tiến hành đánh giá đất đai theo số lượng, chất lượng và các điều kiện gắn với đất đai, khai thác chiều sâu của ruộng đất và mở rộng thêm diện tích bằng cách khai hang và tăng vụ, chuyển đổi ruộng đất bằng cách đồn điền đổi thửa, tập trung ruộng đất vào những hộ sản xuất giỏi v.v...

Nguồn nhân lực trong nông nghiệp là tổng thể sức lao động tham gia hoạt động sản xuất nông nghiệp. Nguồn nhân lực trong nông nghiệp có đặc điểm riêng, trước hết mang tính thời vụ cao là nét đặc thù điển hình, là thứ lao động tất yếu, xu hướng có tính quy luật là không ngừng giảm về số lượng lao động tuyệt đối và tương đối và được chuyển sang các ngành khác. Nguồn nhân lực trong nông nghiệp Việt Nam đang chiếm tỷ trọng lớn trong tổng lao động xã hội, nhưng phân bố không đều giữa các ngành trong nội bộ nông nghiệp và các vùng trong cả nước. Việc dư thừa lao động và thiếu việc làm đang là vấn đề nổi cộm và thu hút sự quan tâm của chính quyền các cấp ở Trung ương và địa phương cũng như giới nghiên cứu khoa học. Để sử dụng hợp lý và có hiệu quả nguồn nhân lực trong nông nghiệp cần thiết phải xây dựng cơ cấu kinh tế hợp lý, phân bố và phân bố lại lao động hợp lý, kết hợp biện pháp thâm canh, khai hoang và tăng vụ, phát triển công nghiệp nông thôn, cải tiến tổ chức lao động, v.v..

Vốn là nguồn lực hạn chế đối với các ngành kinh tế nói chung, đối với nông nghiệp nói riêng. Vốn sản xuất nông nghiệp có những đặc điểm được phân biệt với các ngành kinh tế khác. Để tiến hành sản xuất kinh doanh cần thiết phải ứng trước một số tiền nhất định để mua sắm tư liệu lao động,trong quá trình sử dụng các tư liệu lao động này không thay đổi hình thái vật chất ban đầu và tham gia vào nhiều chu kỳ sản xuất sản phẩm mới theo mức độ hao mòn, phần vốn ứng trước đó được gọi là vốn cố định. Vốn cố định được phân theo chức năng, theo công dụng từng yếu tố v.v... tái sản xuất vốn cố định chủ yếu thực hiện bằng hai phương thức; thông qua quỹ khấu hao và thông qua đầu tư xây dựng cơ bản. Hiệu quả sử dụng vốn cố định và vốn đầu tư cơ bản được đo lượng bằng một hệ thống các chỉ tiêu. Ngoài vốn cố định muốn tiến hành sản xuất kinh doanh cần có vốn lưu động. Vốn lưu động là vốn bằng tiền ứng trước để xây dựng dự trữ cho sản xuất, để mua sắm vật rẻ tiền mau hỏng và hàng hoá diễn ra một cách bình thường. Theo tính chất tham gia của các yếu tố vào quá trình sản xuất, vốn lưu động gồm ba bộ phận cấu thành và hiệu quả sử dụng vốn lưu động trong nông nghiệp được đo lường bằng hệ thống các chỉ tiêu. Có nhiều biện pháp tạo vốn và sử dụng có hiệu quả của vốn sản xuất trong nông nghiệp

Câu hỏi ôn tập

Trình bày vai trò các yếu tố nguồn lực trong tăng trưởng và phát triển nông nghiệp

Phân tích vị trí và đặc điểm của ruộng đất trong nông nghiệp

Làm gì để sử dụng đầy đủ và hợp lý ruộng đất trong nông nghiệp?

Thế nào là yếu tố nguồn nhân lực trong nông nghiệp? Phân tích xu hướng nguồn nhân lực trong nông nghiệp.

Để sử dụng đầy đủ và hợp lý nguồn nhân lực trong nông nghiệp cần thực hiện những biện pháp gì?

Thế nào là vốn sản xuất trong nông nghiệp? Phân tích những đặc điểm của vốn sản xuất trong nông nghiệp.

Thế nào là vốn cố định trong nông nghiệp? Phân tích phương thức tiến hành tái sản xuất vốn cố định trong nông nghiệp.

Thế nào là vốn lưu động trong nông nghiệp? Phân tích các yếu tố cấu thành vốn lưu động trong nông nghiệp.

Trình bày những biện pháp tạo vốn và sử dụng vốn sản xuất trong nông nghiệp có hiệu quả.