Nhiệt độ Curie

Nhiệt độ Curie, hay điểm Curie (thường được ký hiệu là TC, là khái niệm trong vật lý chất rắn, khoa học vật liệu là nhiệt độ chuyển pha trong các vật liệu sắt từ hoặc sắt điện, được đặt theo tên của nhà vật lý học người Pháp Pierre Curie (1859 - 1906). Đôi khi, ký hiệu TC còn được sử dụng là ký hiệu cho các nhiệt độ tới hạn (ví dụ nhiệt độ chuyển pha siêu dẫn...).

Biến đổi của mômen từ tại nhiệt độ Curie sắt từ

Nhiệt độ Curie trong các chất sắt từ

Nhiệt độ Curie trong các chất sắt từ là nhiệt độ chuyển pha sắt từ - thuận từ. Ở dưới nhiệt độ Curie, vật liệu mang tính chất sắt từ, ở trên TC, chất sẽ bị mất tính sắt từ và trở thành thuận từ. Nhiệt độ Curie sắt từ tỉ lệ với số phối vị (số lân cận gần nhất), tích phân trao đổi của chất theo công thức:

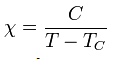
với Z là số lân cận gần nhất, Eex là năng lượng tích phân trao đổi, kB là hằng số Boltzmann. Ở trên nhiệt độ Curie, độ cảm từ của chất biến thiên theo nhiệt độ tuân theo định luật Curie:

Chuyển pha tại nhiệt độ Curie là chuyển pha loại 2, tức là chuyển pha không có sự thay đổi về cấu trúc.

Nhiệt độ Curie trong các chất sắt điện

Cũng có ý nghĩa giống với nhiệt độ Curie trong các chất sắt từ, là nhiệt độ mà tại đó các chất sắt điện bị mất độ phân cực (mất tính sắt điện) để trở thành các chất thuận điện (paraelectric).