Những vấn đề chung về đào tạo nguồn nhân lực trong tổ chức

Khái niệm chung

Nguồn nhân lực là nguồn lực về con người được nghiên cứu dưới nhiều khía cạnh. Theo nghĩa hẹp nó bao gồm các nhóm dân cư trong độ tuổi lao động, có khả năng lao động, như vậy nguồn nhân lực tương đương với nguồn lao động. Theo nghĩa rộng nguồn nhân lực gồm những người từ đủ 15 tuổi trở lên, nó là tổng hợp những cá nhân, những con người cụ thể tham gia vào quá trình lao động. Nguồn nhân lực được xem xét trên hai góc độ là số lượng và chất lượng vì vậy phát triển nguồn nhân lực liên quan đến cả hai khía cạnh đó. Tuy nhiên hiện nay đối với thế giới nói chung và từng quốc gia nói riêng thì chất lượng nguồn nhân lực đang là mối quan tâm hàng đầu do đó hoạt động phát triển nguồn nhân lực chủ yếu hướng vào chất lượng nguồn nhân lực tức là nhấn mạnh đến nguồn vốn nhân lực. Hướng phát triển nguồn nhân lực là quá trình nâng cao chất lượng và hiệu quả sử dụng nguồn lực con người

Phát triển nguồn nhân lực xét từ góc độ một đất nước là quá trình tạo dựng lực lượng lao động năng động, có kỹ năng và sử dụng một cách hiệu quả. Xét từ góc độ cá nhân là việc nâng cao kỹ năng, năng lực hành động và chất lượng cuộc sống nhằm nâng cao năng suất lao động và thu nhập. Để nghiên cứu vấn đề phát triển nguồn nhân lực trước tiên chúng ta cần phải có một khái niệm chính xác về phát triển nguồn nhân lực. Phát triển nguồn nhân lực là tổng thể các hoạt động học tập có tổ chức diễn ra trong những khoảng thời gian xác định nhằm làm thay đổi hành vi nghề nghiệp của người lao động. Như vậy trước hết phát triển nguồn nhân lực phải là các hoạt động học tập do doanh nghiệp tổ chức và cung cấp cho người lao động. Các hoạt động này có thể được cung cấp trong vài giờ, vài ngày thậm chớ vài năm tuỳ thuộc vào môc tiêu học tập. Môc đích của hoạt động này nhằm cung cấp cho ta một đội ngũ lao động có kỹ năng và trình độ lành nghề cao, từ đó làm thay đổi hành vi của họ theo hướng đi lên. Người lao động sẽ có nhiều cơ hội hơn trong việc lựa chọn việc làm cho mình.

Trong thực tế hoạt động phát triển nguồn nhân lực có thể được xem xét trên 3 nội dung là giáo dục đào tạo và phát triển.

  • Giáo dục là những hoạt động học tập giúp cho con người bước vào một nghề nghiệp hoặc chuyển sang một nghề khác thích hợp hơn trong tương lai. Hoạt động này sẽ hướng vào từng cá nhân, thông qua công tác hướng nghiệp mỗi cá nhân sẽ lựa chọn cho mình một nghề nghiệp phù hợp. Hoạt động giáo dục được thực hiện dần dần nhằm trang bị cho người lao động những kiến thức phổ thông về một nghề nào đó. Giáo dục sẽ trang bị cho người lao động hành trang nghề nghiệp cơ bản để hướng tới tương lai.
  • Đào tạo là những hoạt động học tập nhằm nâng cao trình độ học vấn, trình độ chuyên môn, trình độ lành nghề nhằm giúp người lao động thực hiện công việc hiện tại của họ tốt hơn. Hoạt động đào tạo sẽ trang bị những kiến thức thông qua đào tạo mới áp dụng đối với những người chưa có nghề, đào tạo lại áp dụng đối với những người đó có nghề nhưng vì lý do nào đó nghề của họ không phù hợp nữa và đào tạo nâng cao trình độ lành nghề. Trình độ lành nghề của nguồn nhân lực thể hiện mặt chất lượng của sức lao động, nó có liên quan chặt chẽ với lao động phức tạp và biểu hiện ở sự hiểu biết về lý thuyết về kỹ thuật sản xuất và kỹ năng lao động, cho phộp người lao độnghoàn thành được những công việc phức tạp. Hoạt động đào tạo sẽ hướng vào cá nhân cụ thể và cần tiến hành ngay để đáp ứng nhu cầu hiện tại, thực tế công việc đũi hỏi.
  • Phát triển đó là những hoạt động học tập nhằm định hướng và chuẩn bị cho người lao động tiếp cận với sự thay đổi của tổ chức và bắt kịp với nhịp độ thay đổi đó khi tổ chức thay đổi và phát triển hoặc nhằm phát triển sõu hơn kỹ năng làm việc của người lao động. Phát triển sẽ chuẩn bị cho người lao động những kỹ năng cần thiết để đáp ứng được yêu cầu đổi mới và phát triển của tổ chức trong tương lai.

Như vậy tất cả các hoạt động đào tạo và phát triển nguồn nhân lực đều nhằm một môc tiêu là sử dụng tối đa nguồn lực hiện có và nâng cao tính hiệu quả của tổ chức thông qua việc giúp người lao động nắm rừ hơn chuyên môn nghiệp vụ và nâng cao trình độ tay nghề. Hoạt động đào tạo và phát triển nguồn nhân lực là vấn đề quan trọng đối với bất kỳ tổ chức nào cũng như với cá nhân người lao động. Do đó hoạt động này cần phải được quan tâm đúng mức để đáp ứng yêu cầu nâng cao chất lượng nguồn nhân lực phục vụ cho sự nghiờp công nghiệp hóa, hiện đại hóa đất nước.

Các hình thức và phương pháp đào tạo

Hình thức đào tạo

Sau khi đó hiểu rừ khái niệm đào tạo phát triển nguồn nhân lực và nhận thức được tầm quan trọng của công tác này tổ chức cần trang bị cho mình những kiến thức về các hình thức và phương pháp đào tạo.

Như chúng ta đó biết nguồn lao động trong tổ chức bao gồm hai mảng chính là công nhân kỹ thuật và cán bộ chuyên môn (hay lao động trực tiếp và lao động gián tiếp). Đối với mỗi loại lao động sẽ có những hình thức đào tạo khác nhau. Với công nhân kỹ thuật hình thức đào tạo có thể là đào tạo tại nơi làm việc, tổ chức các lớp cạnh doanh nghiệp hay thông qua các trường chính quy… Còn cán bộ chuyên môn có thể tiến hành dưới nhiều hình thức như đào tạo chính quy dài hạn, đào tạo tại chức dài hạn, đào tạo từ xa… Tuy nhiên xét một cách tổng thể có thể chia ra hai hình thức đào tạo chính là đào tạo trong công việc và đào tạo ngoài công việc.

Đào tạo trong công việc

Đào tạo trong công việc là hình thức đào tạo người học ngay tại nơi làm việc. Trong hình thức đào tạo này người học sẽ học được các kiến thức, kỹ năng, kỹ xảo thông qua thực tế làm việc dưới sự chỉ bảo hướng dẫn của người lao động lành nghề, thường là người trong tổ chức.

Nhóm hình thức đào tạo này gồm:

  • Đào tạo theo kiểu chỉ dẫn công việc áp dụng chủ yếu với công nhân sản xuất ngoài ra còn áp dụng với một số công việc quản lý. Quá trình đào tạo gồm hai giai đoạn là dạy lý thuyết và thực hành. Trong khi dạy lý thuyết người chỉ dẫn công việc sẽ chỉ rừ những bước thực hiện công việc và giải thích về quy trình công nghệ cho người học hiểu rừ. Sau khi nắm vững lý thuyết người học sẽ được thực hành bước đầu là làm thử sau đó làm toàn bộ công việc dưới sự chỉ dẫn của người dạy kết hợp với việc quan sát người dạy làm và trao đổi khi có vấn đề khỳc mắc. Đến khi người học thành thạo toàn bộ quy trình thực hiện công việc thì việc chỉ dẫn công việc sẽ kết thỳc.
  • Đào tạo theo kiểu học nghề áp dụng với toàn bộ công nhân sản xuất và áp dụng đối với những nghề mang tính truyền thống, công nghệ không cao. Quá trình thực hiện cũng gồm hai giai đoạn là học lý thuyết và thực hành. Lý thuyết sẽ được học tập trung trên lớp do những kỹ sư hoặc công nhân lành nghề đảm nhận. Sau đó người học sẽ được đưa đến làm việc dưới sự hướng dẫn của người hướng dẫn trong vũng từ 1 đến 3 năm. Người học sẽ thực hiện những khâu có kỹ năng từ đơn giản đến phức tạp cho tới khi thành thạo tất cả các kỹ năng của nghề.
  • Kèm cặp và chỉ bảo áp dụng đối với lao động quản lý tức lao động gián tiếp. Quá trình thực hiện cũng gồm có học lý thuyết và thực hành thông qua sự kèm cặp, chỉ bảo của những người quản lý giái hơn nhằm giúp người học học được những kiến thức, kỹ năng cần thiết cho công việc trước mắt và công việc cho tương lai. Kèm cặp và chỉ bảo được tiếp cận theo ba cách là kèm cặp bởi người quản lý trực tiếp thường các doanh nghiệp hay dựng, kèm cặp bởi một người đồng nghiệp có kinh nghiệm hơn và kèm cặp bởi một người cố vấn (người lao động trong công ty đó về hưu) cách kèm cặp này có ưu điểm là không ảnh hưởng đến công việc của người đương chức, có nhiều thời gian và kinh nghiệm.
  • Luân chuyển và thuyên chuyển công việc đối tượng áp dụng là lao động quản lý và những người này được coi là cán bộ nguồn của tổ chức. Người quản lý sẽ được chuyển từ công việc này sang công việc khác để nhằm cung cấp cho họ những kinh nghiệm làm việc ở nhiều lĩnh vực khác nhau trong tổ chức. Hình thức này cũng được tiếp cận theo ba cách: thứ nhất chuyển người quản lý đến nhận một cương vị quản lý ở một bộ phận khác trong tổ chức với chức năng và quyền hạn như cũ. Cách tiếp cận thứ hai là chuyển người quản lý đến nhận một cương vị làm việc ngoài lĩnh vực chuyên môn. Thứ ba là luân chưyến người học trong phạm vi nội bộ một nghề nghiệp chuyên môn, một lĩnh vực nhất định.

Mỗi một hình thức đào tạo có những ưu nhược điểm riêng song ưu điểm nói chung của hình thức đào tạo trong công việc là tiết kiệm được chi phí do thời gian đào tạo ngắn, không phải thuê người dạy và phương tiện giảng dạy. Hình thức này có thể tiếp cận trực tiếp giúp người học nắm bắt nhanh kỹ năng công việc và phát triển văn hóa làm việc theo nhóm. Ngoài ra đào tạo trong công việc còn có ý nghĩa thiết thực vì người học được làm việc và có thu nhập trong khi học. Tuy nhiên đào tạo trong công việc cũng có nhược điểm là quá trình học không theo một hệ thống nờn không thể áp dụng với những nghề có công nghệ hiện đại, người học bắt chước cả những thúi quen không tốt của người dạy.

Để áp dụng hình thức đào tạo trong công việc tổ chức cần đáp ứng được hai điều kiện là lựa chọn được những người dạy có kỹ năng, kinh nghiệm, tâm huyết với công việc và phải xây dựng kế hoạch đào tạo chặt chẽ nhằm kiểm soỏt về chi phí và thời gian cho đào tạo.

Đào tạo ngoài công việc

Đào tạo ngoài công việc là hình thức đào tạo mà người học tách khái hoàn toàn sự thực hiện công việc trên thực tế nhưng có thể diễn ra ở trong hoặc ngoài doanh nghiệp.

Đào tạo ngoài công việc gồm các hình thức:

  • Tổ chức các lớp cạnh doanh nghiệp áp dụng đối với công nhân sản xuất, với những nghề tương đối phức tạp mà nếu tiếp cận theo kiểu chỉ dẫn công việc có thể gây hại cho người lao động hoặc tổ chức. Quá trình đào tạo gồm hai giai đoạn dạy lý thuyết và thực hành. Phần lý thuyết được giảng tập trung do các kỹ sư, cán bộ kỹ thuật phụ trỏch còn phần thực hành thì được tiến hành ở các xưởng thực tập chuyên dụng do các kỹ sư và công nhân lành nghề hướng dẫn. Hình thức này giúp người học học có hệ thống hơn, không gây ra sự xỏo trộn hoặc gián đoạn trong sản xuất, an toàn cho người lao động trong sản xuất và đảm bảo cơ sở sản xuất của doanh nghiệp.
  • Cử đi học ở các trường chính quy áp dụng với mọi đối tượng lao động, tính hệ thống cao và đặc biệt áp dụng với những nghề có tính chất hiện đại. Người học sẽ được trang bị đầy đủ cả kiến thức lý thuyết lẫn kỹ năng thực hành. Tuy nhiên phải xem xét đến vấn đề chi phí và kỹ năng đào tạo.
  • Đào tạo sử dụng các bài giảng hoặc các cuộc hội thảo áp dụng cho cả lao động quản lý và công nhân sản xuất. Các buổi giảng bài hay hội nghị có thể được tổ chức ở doanh nghiệp hoặc ở một hội nghị bên ngoài. Được tiếp cận theo hai cách là tổ chức riêng hoặc kết hợp với các chương trình đào tạo khác. Người học sẽ được thảo luận theo từng chủ đề dưới sự hướng dẫn của người lãnh đạo nhóm từ đó học được các kiến thức và kinh nghiệm cần thiết.
  • Đào tạo theo kiểu chương trình hóa với sự trợ giúp của máy tính áp dụng đối với lao động quản lý. Đây là phương pháp đào tạo kỹ năng hiện đại nờn đũi hỏi người học phải thành thạo kỹ năng sử dụng máy vi tính và phải tự thao tác theo các chỉ dẫn của chương trình. Chương trình đào tạo sẽ được viết sẵn trên đĩa mềm của máy tính và gồm ba chức năng cơ bản: Đưa ra các cõu hỏi tình huống để người học suy nghĩ và tỡm cách giải quyết, có bộ nhớ để lưu những thông tin người học có thể cập nhật để xử lý và cho kết quả, cho người học những thông tin phản hồi. Hình thức này có thể sử dụng để đào tạo rất nhiều kỹ năng mà không cần có người dạy.
  • Đào tạo theo phương thức từ xa bằng cách sử dụng sự hỗ trợ của các phương tiện nghe nhỡn. Người học và người dạy không ở một địa điểm và cựng một thời gian mà người học học các kỹ năng kiến thức thông qua các phương tiện như băng, đĩa casset, truyền hình… Với hình thức đào tạo này người học có thể chủ động bố trớ thời gian học tập cho phù hợp với kế hoạch của mình và những người học ở các địa điểm xa trung tâm vẫn có thể tham gia các khóa học, chương trình đào tạo có chất lượng cao. Tuy nhiên hình thức đào tạo này đũi hỏi các cơ sở đào tạo phải có tính chuyên môn hóa cao, chuẩn bị bài giảng và chương trình đào tạo phải có sự đầu tư lớn.
  • Đào tạo theo kiểu phũng thớ nghiệm áp dụng với lao động quản lý. Hình thức này tiếp cận thông qua các bài tập tình huống, trũ chơi kinh doanh, diễn kịch ,mô phỏng trên máy tính hoặc là các bài tập giải quyết vấn đề nhằm giúp người học thực tập giải quyết các tình huống giống như trên thực tế.
  • Mô hình hóa hành vi cũng tương tự như hình thức diễn kịch nhưng có kịch bản sẵn để người học tham khảo trước khi tiến hành.
  • Đào tạo kỹ năng xử lý công văn giấy tờ áp dụng với lao động quản lý chủ yếu là những người ở bộ phận hành chính, thư ký, quản lý… Môc đích giúp người học nâng cao sự thành thạo trong việc xử lý công văn giấy tờ lập kế hoạch làm việc.

Hình thức đào tạo ngoài công việc có ưu điểm việc học không bị tác động bởi môi trường làm việc do đó người học có thể tập trung suy nghĩ hơn, việc học không làm gián đoạn quá trình sản xuất, tính hệ thống cao hơn nờn có thể dựng để dạy cả nghề hiện đại. Thông tin được tiếp cận rộng hơn, cập nhật hơn do đó mở rộng tầm nhỡn giúp thay đổi những tư duy và quan điểm lạc hậu. Tuy nhiên chi phí đào tạo cao, thời gian học dài và chi phí cơ hội cao.

Phương pháp đào tạo

Phương pháp đào tạo là cách thức mà người dạy sử dụng để truyền đạt kiến thức cho người học. Việc lựa chọn đúng phương pháp đào tạo cho từng đối tượng sẽ giúp quá trình học đạt hiệu quả và chất lượng. Hiện nay có rất nhiều phương pháp đào tạo nhưng chúng ta có thể tiếp cận trên hai phương diện là các phương pháp dạy lý thuyết và các phương pháp dạy thực hành tay nghề.

Dạy lý thuyết

Để dạy lý thuyết cho người học người dạy có thể sử dụng các phương pháp sau:

  • Phương pháp giảng giải đây là phương pháp mà người dạy sẽ dựng kiến thức của mình giảng giải cho người học hiểu được bản chất của vấn đề. Có thể giảng giải bằng lời nói thuần tuý hoặc lời nói kết hợp với hình ảnh minh hoạ, lời nói kết hợp với mô hình để người học dễ hình dung.
  • Phương pháp đối thoại là phương pháp thầy trũ cựng nờu vấn đề cựng tranh luận để đi đến thống nhất cách hiểu bản chất vấn đề. Phương pháp này giúp người học phát huy tính năng động sỏng tạo, ý thức độc lập trong tư duy.
  • Phương pháp nghiên cứu tình huống là phương pháp đặt ra tình huống như trong thực tế để người học và người dạy cựng nghiên cứu tỡm ra giải pháp tối ưu để giải quyết vấn đề. Phương pháp này vừa tạo ra sự hiểu biết sõu sắc về lý thuyết vừa tạo ra kỹ năng xử lý tình huống.
  • Phương pháp nghiên cứu khoa học là phương pháp vận dụng các lý thuyết đó học để nghiên cứu một vấn đề cụ thể trong thực tế và giải quyết vấn đề đặt ra một cách bài bản khoa học. Phương pháp giúp người học có năng lực giải quyết vấn đề thực tế thực sự, tạo cho họ tính độc lập tự chủ trong học tập và nghiên cứu.

Các phương pháp dạy thực hành tay nghề

  • Phương pháp dạy theo đối tượng là phương pháp người học được thực hành trên một đối tượng cụ thể theo một trật tự xác định. Ưu điểm của phương pháp này là tạo ra hứng thỳ cao nhưng có nhược điểm là không tạo ra được các thao tác động tác lao động tiên tiến, đôi khi còn hợp thức hóa các thao tác động tác lao động lạc hậu.
  • Phương pháp dạy theo các thao tác là phương pháp người học chỉ thực hiện một thao tác hoặc một số động tác lao động tiên tiến, chuẩn mực đến khi thuần thục cao và chính xác theo quy định. Phương pháp này có ưu điểm tạo ra các thao tác động tác lao động tiên tiến và các hoạt động tối ưu. Tuy nhiên nhược điểm của phương pháp này là khi cứ thực hiện mói một thao tác sẽ gây sự nhàm chỏn không tạo được hứng thỳ cho người học.
  • Phương pháp tổng hợp vừa theo đối tượng vừa theothao tác là phương pháp dạy theo đối tượng nhưng đến các thao tác cơ bản, chủ yếu, quan trọng và tốn nhiều thời gian thì dừng lại để sử dụng phương pháp dạy theo thao tác. Phương pháp này phát huy được ưu điểm và khắc phục được nhược điểm của hai phương pháp trên.
  • Phương pháp tự học là phương pháp người học dựa vào sơ đồ, biểu đồ, hình ảnh và các giải thích hướng dẫn để tự thực hiện theo nhằm đạt được cách thức làm việc cụ thể.

Nhu cầu đào tạo

Nhu cầu đào tạo của tổ chức được xuất phát từ nhu cầu về lao động của tổ chức. Những tổ chức khác nhau sẽ có nhu cầu đào tạo khác nhau vì vậy cần căn cứ vào tình hình thực tế của tổ chức để xác định nhu cầu đào tạo. Tại sao cần đầu tư cho đào tạo và phát triển, phải tiến hành loại chương trình đào tạo và phát triển nào, ai cần được đào tạo là những vấn đề tổ chức cần quan tâm khi xem xét nhu cầu đào tạo. Để xác định nhu cầu đào tạo cần phải phân tích tổ chức, phân tích con người và phân tích nhiệm vụ. Phân tích tổ chức xem xét sự hợp lý của hoạt động đào tạo trong mối liên hệ với chiến lược kinh doanh, nguồn lực sẵn có (thời gian, tài chính, chuyên gia) của tổ chức, cũng như sự ủng hộ của những người lãnh đạo đối với hoạt động đào tạo trong tổ chức. Phân tích con người là việc xem xét liệu có phải những yếu kộm của kết quả thực hiện công việc là do sự thiếu hụt những kỹ năng, kiến thức và khả năng của người lao động hay là do những vấn đề liên quan đến động lực làm việc của người lao động, thiết kế công việc không hợp lý…, ai là đối tượng cần được đào tạo, sự sẵn sàng của người lao động đối với hoạt động đào tạo. Phân tích nhiệm vụ bao gồm việc xác định các nhiệm vụ quan trọngvà kiến thức, kỹ năng, hành vi cần phải được chú trọng để đào tạo cho người lao động nhằm giúp họ hoàn thành công việc tốt hơn.

Mỗi loại lao động khác nhau sẽ có nhu cầu đào tạo khác nhau. Với công nhân kỹ thuật việc xác định nhu cầu đào tạo là cơ sở để lập kế hoạch đào tạo. Xác định nhu cầu không chính xác sẽ dẫn đến sự mất cõn đối giữa yêu cầu và đào tạo, giữa đào tạo và sử dụng vì vậy tổ chức cần quan tâm đến việc xác định nhu cầu đào tạo. Nhu cầu đào tạo công nhân kỹ thuật gồm hai loại chủ yếu là đào tạo mới và đào tạo lại.

Để xác định nhu cầu đào tạo công nhân kỹ thuật chúng ta có thể sử dụng một số phương pháp được sau (Theo giáo trình quản trị nhân lực – NXB lao động xã hội)

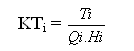
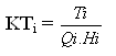
Phương pháp tính toán căn cứ vào tổng hao phí thời gian lao động kỹ thuật cần thiết cho từng loại sản phẩm và quỹ thời gian lao động của loại (công) nhân viên kỹ thuật tương ứng

KTi: Nhu cầu(công) nhân viên thuộc nghề(chuyên môn)i

Ti: Tổng hao phí thời gian lao động kỹ thuật thuộc nghề(chuyên môn)i cần thiết để sản xuất.

Qi: Quỹ thời gian lao động của một(công) nhân viên kỹ thuật thuộc nghề (chuyên môn) i

Hi: Khả năng hoàn thành vượt mức ở kỳ triển vọng của (công) nhân viên kỹ thuật thuộc nghề(chuyên môn)i

Phương pháp tính toán căn cứ vào số lượng máy móc, thiết bị kỹ thuật cần thiết cho quá trình sản xuất, mức đảm nhiệm của một (công) nhân viên kỹ thuật và hệ số ca làm việc của máy móc thiết bị.

SM: Số lượng máy móc trang thiết bị cần thiết ở kỳ triển vọng

Hca: Hệ số ca làm việc của máy móc trang thiết bị

N: Số lượng máy móc trang thiết bị do công nhân viên kỹ thuật phải tính

Phương pháp chỉ số

IKT: Chỉ số tăng công nhân viên kỹ thuật

Isp: Chỉ số tăng sản phẩm

It: Chỉ số tăng tỷ trọng công nhân viên kỹ thuật trên tổng số

I

: Chỉ số tăng năng suất lao động

Ngoài ba phương pháp trên còn có rất nhiều các phương pháp khác để xác định nhu cầu công nhân kỹ thuật tổ chức sẽ căn cứ từng tình hình cụ thể để lựa chọn cách xác định phù hợp.

Xây dựng chương trình đào tạo

Để công tác đào tạo đạt hiệu quả và chất lượng tổ chức cần phải xây dựng cho mình một chương trình đào tạo phù hợp. Quá trình xây dựng chương trình đào tạo gồm 7 bước:

Xác định nhu cầu đào tạo

Đây là khâu rất quan trọng, tổ chức sẽ căn cứ vào bản phân tích công việc và việc đánh giá tình hình thực hiện công việc, căn cứ vào cơ cấu tổ chức để xác định số lượng, loại lao động và loại kiến thức kỹ năng cần đào tạo của tổ chức mình.

Xác định môc tiêu đào tạo

Tổ chức phải xác định kết quả cần đạt được của chương trình đào tạo bao gồm: những kỹ năng cụ thể cần được đào tạo và trình độ kỹ năng có được sau đào tạo, số lượng và cơ cấu nhân viên và thời gian đào tạo.

Lựa chọn đối tượng đào tạo

Là việc lựa chọn người cụ thể để đào tạo, ai cần được đào tạo và đào tạo loại kỹ năng nào. Tổ chức cần phải xác định căn cứ vào việc xác định nhu cầu và động cơ đào tạo của người lao động, tác dụng của đào tạo đối với người lao động và khả năng nghề nghiệp của từng người.

Xây dựng chương trình đào tạo và lựa chọn phương pháp đào tạo

Tổ chức dựa trên chương trình đào tạo là hệ thống các môn học, bài học, loại kiến thức và loại kỹ năng cần đào tạo từ đó lựa chọn phương pháp đào tạo phù hợp.

Dự tính chi phí đào tạo

Khi xây dựng chương trình đào tạo tổ chức cần phải tính đến chi phí cho việc đào tạo bao gồm chi phí cho việc học, chi phí cho giảng dạy và chi phí cơ hội.

Lựa chọn và đào tạo giáo viên

Giáo viên có thể là người của doanh nghiệp hoặc thuê giáo viên bên ngoài kết hợp với những người có kinh nghiệm lâu năm. Các giáo viên cần được tập huấn để nắm vững môc tiêu và cơ cấu của chương trình đào tạo.

Đánh giá chương trình và kết quả đào tạo

Chương trình đào tạo được đánh giá căn cứ trên các tiêu thức như môc tiêu đào tạo có đạt được hay không? điểm yếu, điểm mạnh của chương trình đào tạo và tính hiệu quả kinh tế của việc đào tạo đánh giá thông qua chi phí và kết quả của chương trình.

Kết quả chương trình đào tạo bao gồm kết quả nhận thức, sự thoả mãn của người học đối với chương trình đào tạo khả năng vận dụng kiến thức vào thực tế… Các phương pháp đánh giá kết quả đào tạo có thể sử dụng phương pháp phỏng vấn, điều tra thông qua bảng hỏi, quan sát…