Khái niệm - đặc điểm - phân loại chỉ số
Khái niệm
Chỉ số là số tương đối (đơn vị là: lần; %) biểu hiện quan hệ so sánh 2 mức độ của 1 hiện tượng.
Trong thực tế đối tượng nghiên cứu của phương pháp chỉ số là những hiện tượng phức tạp, gồm các phần tử, đơn vị có đặc điểm tính chất khác nhau mà người ta không thể cộng trực tiếp để so sánh.
Đặc điểm
Khi muốn so sánh các mức độ của hiện tượng phải chuyển các đơn vị, phần tử, hiện tượng cá biệt có tính chất, đặc điểm khác nhau thành một dạng đồng nhất có thể cộng trực tiếp chúng lại.
Khi có nhiều nhân tố cùng tham gia vào việc tính toán phải giả định chỉ có một nhân tố thay đổi còn các nhân tố khác thì không đổi (gọi là quyền số) nhằm loại trừ ảnh hưởng biến động của các nhân tố này tới kết quả so sánh.
Khi ta nghiên cứu sự biến động của nhân tố số lượng người ta thường cố định nhân tố chất lượng ở kì gốc. Còn khi nghiên cứu sự biến động của nhân tố chất lượng thì người ta cố định nhân tố số lượng ở báo cáo. Chỉ số có nhiều tác dụng khác nhau tuỳ theo từng loại:
Chỉ số dùng để phản ánh sự biến độn của hiện tượng qua thời gian gọi là chỉ số thời gian.
Chỉ số phản ánh sự biến động của phần tử qua không gian (địa phương A với địa phương B) gọi là chỉ số không gian.
Chỉ số phản ánh nhiệm vụ kế hoạch gọi là chỉ số kế hoạch.
Ngoài ra chỉ số cần được dùng để phân tích vai trò ảnh hưởng biến động của từng nhân tố đối với sự biến động của toàn bộ hiện tượng.
Phân loại chỉ số
- Theo phạm vi tính toán:
-
- Chỉ số đơn (chỉ số cá thể) nêu nên sự biến động của từng đơn vị cá biệt.
- Chỉ số đơn về giá hàng hoá ip =
- Chi số đơn về lượng hàng hoá tiêu thụ.iq = Trong đó: ip là giá cả các loại hàng hoá ở kì gốc và kỳ nghiên cứu iq là số lượng các loại hàng hoá ở kì gốc và kì nghiên cứu
- Chỉ số tổng hợp (chỉ số chung): là chỉ số phản ảnh sự biến động của hiện tượng phức tạp gồm nhiều đơn vị hoặc phần tử khác nhau.
- Theo nội dung chỉ số phản ánh:
- Chỉ số phát triển:
- Chỉ số đơn về giá và sản lượng.ip = iq =
- Chỉ số phát triển tổng hợp về giá
- của Lac peyres (1864)
Với Ip: là chỉ số tổng hợp về giá.Po, P1: là giá cả mỗi mặt hàng kì gốc và kì nghiên cứu .qo : là số lượng hàng hoá kì gốc (nó đóng vai trò là nguyên số). - của Paesches (1874)
Với q1 Là số lượng hàng hoá ở kì nghiên cứu (đóng vai trò là quyền số) - của Paische (1921)
Áp dụng chỉ số về giá của Pische khi có sự sai lệch đáng kể giữa :
và
Ta cũng có thể dựa vào chỉ số đơn về giá (i p) để xác định chỉ số tổng hợp về giá bằng cách biến đổi công thức của và
và ta sẽ được:
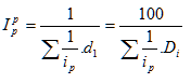
với 
với
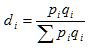
và Di = di . 100Thực chất chỉ số tổng hợp vì giá cả là trung bình cộng gia quyền hoặc trung bình điều hoà gia quyền của các chỉ số đơn về giá cả (trong đó quyền số có thể là doanh thu kì gốc ON tỉ trọng doanh thu là gối)
- của Lac peyres (1864)
- Chỉ số tổng hợp về lượng hàng hoá tiêu thụ
- của Lac peyres
quyền số là p0 - của Paasche :

- của Fische :
Chỉ số này dùng khi IqL và IqP có sự khác biệt rõ rệt.Ta cũng có thể dựa vào các Vq để tính chỉ số tổng hợp về lượng hàng hoá
- của Lac peyres
- Chỉ số không gian
- Chỉ số đơn về giá và sản lượng:ip = iq = Trong đó:q(A/B) chỉ số giá cả của loại hàng hoá nào đó ở địa phương A so với địa phương Bq(A/B) là chỉ số sản lượng hàng hoá nào đó ở địa phương A so với địa phương B.là sản lượng từng loại của địa phương A và Blà giá cả từng loại của địa phương A và B
- Chỉ số tổng hợp
- về giá cả: IP(A/B) =
- về lượng hàng hoá tiêu thụ.


- Chỉ số kế hoạch về giá thành sản phẩm
- Chỉ số đơn
- Chỉ số nhiệm vụ kế hoạch giá thành iznv =
- Chỉ số hoàn thành kế hoạch iz = iznv . izhtvới izht = = x
- Chỉ số tổng hợp
- Chỉ số nhiệm vụ kế hoạch giá thànhIznv =
- Chỉ số hoàn thành kế hoạch giá thành Iznt = với qKH là quyền sốIzht = với q1 là quyền số
- Chỉ số đơn
- Chỉ số kế hoạch về khối lượng sản phẩm
- Chỉ số đơn
- Nhiệm vụ kế hoạch iqnv =
- Hoàn thành kế hoạch iqht =
- Chỉ số tổng hợp
- Chỉ số về nhiệm vụ kế hoạch Iqnv =
- Chỉ số về hoàn thành kế hoạch.Iqht =
- Chỉ số đơn
- Chỉ số phát triển:
- Theo tính chất của các chỉ tiêu
- Chỉ số chỉ tiêu chất lượng: phản ánh biến động của chỉ tiêu chất lượng.
- Chỉ số chỉ tiêu khối lượng phản ánh sự biến động của 1 chỉ tiêu khối lượng nào đó.
Việc phân chia này được áp dụng đối với một số chỉ tiêu thông thường trong từng mối quan hệ cụ thể.
Hệ thống chỉ số
Đó là một đẳng thức mà nó phản ánh mối liên hệ giữa các chỉ số với nhau.
Phân loại hệ thống chỉ số
- Hệ thống chỉ số tổng hợp
-
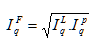
- Phương pháp liên hoàn: cho rằng sự biến động của toàn bộ hiện tượng do ảnh hưởng biến động tác động lẫn nhau của các nhân tố do đó thời kê quyển số của các chỉ số nhân tố là lấy ở những thời kì khác nhau.Ipq = Ipp . IqL (1)Ipq = IpL . Iqp (2)Trong thực tế do những ưu điểm của chỉ số tổng hợp về giá cả (IPP) và chỉ số tổng hợp về lượng của Lac peyres (ILP) giống nhau cho nên người ta thường sử dụng hệ thống chie số (1). = . Lượng tăng giảm tuyệt đốip1q1 - p0q1 = (p1q1 - p0q1) + (p0q1 - p0qo)Lượng tăng giảm tương đối = +
- Phương pháp ảnh hưởng biến động riêng biệt cho rằng, sự biến động của toàn bộ hiện tợng là do ảnh hưởng của biến động riêng biệt của từng nhân tố và sự tác động tương hỗ lần nhau giữa các nhân tố đo đó quyền số của chỉ số đều lấy ở kì gốc và hệ thống chỉ số là duy nhất.Ipq = IpL x IqL x Ik = x Lượng tăng giảm tuyệt đốip1q1 - p0q0 = (p1q0 - p0q0) + (p0q1 - p0q0) + (p1q1 + p0q0 - p1q0 - p0q1)
- Hệ thống chỉ số của số trung bình
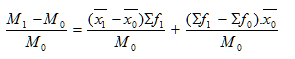
chỉ số phản ảnh sự thay đổi của chỉ số trung bình qua thời gian
=
với
IX Chỉ số phản ánh ảnh hưởng biến động của tiêu thức bình quân đối với sự biến động của số bình quân chung:IX =
với
If/f chỉ số phản ánh sự thay đổi kết cấu
Vậy
Lượng tăng giảm tuyệt đối.
Lượng tăng giảm tương đối
- Phân tích sự biến động của tổng lượng biến tiêu thứcTổng lượng biến tiêu thức - số TB x số đơn vị.Hệ thống chỉ số
Lượng tăng giảm tuyệt đối
Lượng tăng giảm tương đối
Tác dụng của hệ thống chỉ số
Phân tích mối liên hệ giữa các hiện tượng trong quá trình biến động, xác định vai trò ảnh hưởng biến động của mối nhân tố đối với sự biến động của hiện tượng gồm nhiều nhân tố, tìm ra nguyên nhân chủ yếu.
Trong những trường hợp thông qua hệ thống chỉ số có thể tính toán các chỉ số chưa biết khi biết các chỉ số khác trong hệ thống.