Cơ sở lý luận chung về quản lý lao động.
Quản lý lao động là gì ?
Quản lý lao động là hoạt động quản lý lao động con người trong một tổ chức nhất định trong đó chủ thể quản trị tác động lên khách thể bị quản trị nhằm mục đích tạo ra lợi ích chung của tổ chức. Trong nền kinh tế thị trường các doanh nghiệp được đặt trong sự cạnh tranh quyết liệt. Vì vậy để tồn tại và phát triển doanh nghiệp phải thường xuyên tìm cách nâng cao hiệu quả sản xuất kinh doanh. Trong đó các công việc phải quan tâm hàng đầu là quản trị lao động. Những việc làm khác sẽ trở nên vô nghĩa nếu công tác quản lý lao động không được chú ý đúng mức không được thường xuyên củng cố. Thậm chí không có hiệu quả, không thể thực hiện bất kỳ chiến lược nào nếu từng hoạt động không đi đôi với việc hoàn thiện và cải tiến công tác quản lý lao động. Một doanh nghiệp dù có điều kiện thuận lợi trong kinh doanh, có đầy đủ điều kiện vật chất kĩ thuật để kinh doanh có lãi, một đội ngũ công nhân viên đủ mạnh nhưng khoa học quản lý không được áp dụng một cách có hiệu quả thì doanh nghiệp đó cũng không tồn tại và phát triển được. Ngược lại một doanh nghiệp đang có nguy cơ sa sút, yếu kém để khôi phục hoạt động của nó, cán bộ lãnh đạo phải sắp xếp, bố trí lại đội ngũ lao động của doanh nghiệp, sa thải những nhân viên yếu kém, thay đổi chỗ và tuyển nhân viên mới nhằm đáp ứng tình hình hoạt động sản xuất kinh doanh của doanh nghiệp phù hợp với khả năng làm việc của từng người.
Ngày nay với sự tiến bộ của khoa học kỹ thuật và sự chuyển đổi từ nền kinh tế tập trung quan liêu bao cấp sang nền kinh tế thị trường đã làm cho các mối quan hệ giữa con người càng trở nên phức tạp. Nhiệm vụ của quản lý lao động là điều hành chính xác trọn vẹn các mối quan hệ ấy để cho sản xuất được tiến hành nhịp nhàng, liên tục và đem lại hiệu quả cao. Vì vậy vai trò của quản lý lao động đối với doanh nghiệp là rất quan trọng. Bởi lẽ quản lý lao động là bộ phận không thể thiếu được của quản trị sản xuất kinh doanh, nó nhằm củng cố và duy trì đầy đủ số lượng và chất lượng người làm việc cần thiết cho tổ chức để đạt được mục tiêu đề ra, tìm kiếm và phát triển những hình thức, những phương pháp tốt nhất để con người có thể đóng nhiều sức lực cho các mục tiêu của tổ chức đồng thời cũng tạo cơ hội để phát triển không ngừng chính bản thân con người. Sử dụng có hiệu quả nguồn lực của con người là mục tiêu của quản lý lao động.
Các quan điểm về quản lý lao động trong doanh nghiệp.
Nền kinh tế nước ta đang từng bước chuyển sang cơ chế thị trường có sự quản lý của Nhà nước theo định hướng xã hội chủ nghiã với chính sách “đổi mới” hội nhập với các nước trong khu vực và trên toàn thế giới. Yếu tố con người, yếu tố trí tuệ được đề cao hơn yếu tố vốn và kỹ thuật, trở thành nhân tố quyết định sự thành bại của mỗi doanh nghiệp. Do vậy yêu cầu về trình độ và năng lực của con người, của mỗi doanh nghiệp cũng khác trước tạo nên sự đòi hỏi về hai phía:
Mọi doanh nghiệp ở mức tối thiểu đều yêu cầu đội ngũ công nhân viên của mình hoàn thành nhiệm vụ, đạt tiêu chuẩn định mức đặt ra, chấp hành những chính sách, những quy định của công ty.
Tuy nhiên trong thực tế kinh doanh, các doanh nghiệp ngày càng yêu cầu dội ngũ nguồn nhân lực của mình nhiều hơn mức tối thiểu. Doanh nghiệp không chỉ yêu cầu nhân viên hoàn thành công việc mà phải biết sáng tạo, cải tiến tìm ra những giải pháp, phương pháp mới, không chỉ chấp hành quy chế mà còn phải nhiệt huyết, gắn bó với doanh nghiệp, có trách nhiệm với kết quả chung của doanh nghiệp. Không phải chỉ có những đòi hỏi từ phía doanh nghiệp đối với người lao động mà ngược lại đội ngũ người lao động cũng có những đòi hỏi nhất định đối với doanh nghiệp mà họ đang làm việc. Ở một mức tối thiểu, công nhân yêu cầu doanh nghiệp phải trả lương đầy đủ, đúng hạn, hợp lý và các điều kiện lao động an toàn. Người lao động yêu cầu tham gia vào quá trình xây dựng chiến lược, chính sách của doanh nghiệp. Người lao động muốn phát triển năng lực cá nhân bằng cách nâng cao và tiếp thu những kiến thức, những kỹ năng mới. Họ muốn cống hiến, muốn vận động đi lên trong hệ thống các vị trí, chức vụ công tác của doanh nghiệp, được chủ động tham gia đóng góp quan trọng vào kết quả hoạt động của doanh nghiệp. Với một nền kinh tế đang trên đà phát triển mạnh tạo nên sự cạnh tranh đầu vào về lao động giữa các doanh nghiệp ngày càng cao. Người lao động do đó cần phải trang bị cho mình những kiến thức và rèn luyện kỹ năng đáp ứng yêu cầu của doanh nghiệp. Ngược lại doanh nghiệp cần phải có chính sách thích hợp đáp ứng yêu cầu, nguyện vọng của người lao động, tạo nên một môi trường làm việc có hiệu quả để doanh nghiệp đạt được mục đích lợi nhuận tối đa.
Quản lý lao động là quản lý một nhân tố cơ bản nhất, quyết định nhất của lực lượng sản xuất đó là nhân tố con người. Trong cơ chế thị trường cạnh tranh hiện nay, các cơ sở doanh nghiệp muốn tồn tại và phát triển được đều rất cần được trang bị máy móc thiết bị hiện đại, có sự nhảy vọt thay đổi về chất. Tuy nhiên nếu thiếu nhân tố con người, thiếu một đội ngũ lao động có trình độ, có tổ chức thì cũng không thể phát huy hết được tác dụng của các nhân tố kia.
Tóm lại, để quản lý lao động tốt thì phải giải quyết những mục tiêu sau:
Thứ nhất là sử dụng lao động một cách hợp lý có kế hoạch phù hợp với điều kiện tố chức, kỹ thuật, tâm sinh lý người lao động nhằm không ngừng tăng năng suất lao động trên cơ sở kết hợp chặt chẽ với các yếu tố khác của quá trình sản xuất nhằm khai thác có hiệu quả nhất mọi nguồn lực của sản xuất kinh doanh.
Thứ hai là bồi dưỡng sức lao động về trình độ văn hoá, chính trị, tư tưởng, chuyên môn nghiệp vụ và đặc biệt là nâng cao mức sống vật chất, tinh thần nhằm đảm bảo tái sản xuất sức lao động, phát triển toàn diện con người.
Quản lý lao động nhằm sử dụng và bồi dưỡng lao động là hai mặt khác nhau nhưng nó lại liên quan mật thiết với nhau. Nếu tách rời hoặc đối lập giữa hai công việc này là sai lầm nghiêm trọng, không chỉ nói đến sử dụng lao động mà quên bồi dưỡng sức lao động và ngược lại.
Cơ sở lý luận chung về tiền lương.
Tiền lương được hiểu là số tiền mà người lao động nhận được từ người sử dụng lao động thanh toán lại tương ứng với số lượng và chất lượng lao động mà họ đã tiêu hao trong quá trình tạo ra của cải vật chất cho xã hội.
Như vậy tiền lương được biểu hiện bằng tiền của giá trị hàng hoá sức lao động. Ở nước ta hiện nay có sự phân biệt rõ ràng giữa các yếu tố trong tổng thu nhập từ lao động sản xuất kinh doanh của người lao động: tiền lương (lương cơ bản) phụ cấp, tiền thưởng và phúc lợi xã hội. Theo quan điểm của Chính phủ trong chính sách tiền lương năm 1993, tiền lương là giá cả sức lao động, được hình thành thông qua thoả thuận giữa người lao động và người sử dụng lao động phù hợp với quan hệ cung cầu sức lao động trong nền kinh tế thị trường. Tiền lương của người lao động do hai bên thoả thuận trong hợp đồng lao động và được trả theo năng suất, chất lượng lao động và hiệu quả công việc.
Bản chất của tiền lương.
Để tiến hành quá trình sản xuất kinh doanh cần phải có các yếu tố cơ bản: lao động, tư liệu lao động và đối tượng lao động. Trong đó lao động là yếu tố chính có tính chất quyết định. Lao động không có giá trị riêng biệt mà lao động là hoạt động tạo ra giá trị. Cái mà người ta mua bán không phải là lao động mà là sức lao động. Khi sức lao động trở thành hàng hoá thì giá trị của nó được đo bằng lao động kết tinh trong một sản phẩm. Người lao động bán sức lao động và nhận được giá trị của sức lao động dưới hình thái tiền lương.
Theo quan điểm tiền lương là số lượng tièn tệ mà người sử dụng lao động trả cho người lao động để hoàn thành công việc theo chức năng, nhiệm vụ quy định thì bản chất tiền lương là giá cả hàng hoá sức lao động được hình thành thông qua sự thoả thuận giữa người lao động và người sử dụng lao động đồng thời chịu sự chi phối của các quy luật kinh tế trong đó có quy luật cung cầu. Tiền lương người lao động nhận được phải đảm bảo là nguồn thu nhập, nguồn sống của bản thân người lao động và gia đình, là điều kiện để người lao động hoà nhập với xã hội.
Cũng như các loại giá cả hàng hoá khác trên thị trường, tiền lương và tiền công của người lao động ở khu vực sản xuất kinh doanh do thị trường quyết định. Nguồn tiền lương và thu nhập của người lao động bắt nguồn từ kết quả của hoạt động sản xuất kinh doanh. Sự quản lý vĩ mô của Nhà nướcvề lĩnh vực này bắt buộc các doanh nghiệp phải đảm bảo cho người lao động có mức thu nhập thấp nhất phải bằng mức lương tối thiểu do Nhà nước quy định.
Trong các yếu tố cơ bản của quá trình sản xuất, sức lao động là yếu tố mang tính quyết định. Do đó có thể nói tiền lương là phạm trù của sản xuất, yêu cầu phải tính đúng, tính đủ trước khi trả hoặc cấp phát cho người lao động.
Cũng chính vì sức lao động là yếu tố cơ bản của quá trình sản xuất cần phải được bù đắp sau khi đã hao phí, nên tiền lương cũng phải được thông qua quá trình phân phối và phân phối lại thu nhập quốc dân dựa trên hao phí, hiệu quả lao động. Và ở đây tiền lương lại thể hiện là một phạm trù phân phối. Sức lao động là hàng hoá cũng như các loại hàng hoá khác nên tiền lương cũng là phạm trù trao đổi. Nó đòi hỏi phải ngang giá với giá cả của các tư liệu tiêu dùng, sinh hoạt cần thiết nhằm tái sản xuất sức lao động. sức lao động cần phải được tái sản xuất thông qua quỹ tiêu dùng cá nhân và do đó tiền lương lại là phạm trù thuộc lĩnh vực tiêu dùng...
Như vậy tiền lương là một phạm trù kinh tế gắn liền lao động, tiền tệ và nền sản xuất hàng hoá. Tiền lương là biểu hiện bằng tiền của giá trị hàng hoá sức lao động mà người lao động sử dụng để bù đắp hao phí lao động đã bỏ ra trong quá trình sản xuất kinh doanh. Mặt khác, về hình thức, trong điều kiện tồn tại của nền sản xuất hàng hoá và tiền tệ thì tiền lương là một bộ phận cấu thành nên giá trị sản phẩm do lao động tạo ra. Tuỳ theo cơ chế quản lý mà tiền lương có thể được xác định là một bộ phận của chi phí sản xuất cấu thành nên giá thành sản phẩm hay là một bộ phận của thu nhập.
Chức năng của tiền lương.
Tiền lương là một nhân tố hết sức quan trọng của quá trình quản lý nói chung và quản lý lao động tiền lương nói riêng. Có thể kể ra một số chức năng cơ bản của tiền lương như sau:
- Kích thích lao động (tạo động lực): Chức năng này nhằm duy trì năng lực làm việc lâu dài có hiệu quả, dựa trên cơ sở tiền lương phải đảm bảo bù đắp sức lao động đã hao phí để khuyến khích tăng năng suất. Về mặt nguyên tắc, tiền lương phải đảm bảo lợi ích kinh tế cho người lao động, tạo niềm hứng khởi trong công việc, phát huy tinh thần sáng tạo tự học hỏi để nâng cao trình độ nghiệp vụ, chuyên môn để từ đó giúp họ làm việc với hiệu quả cao nhất và mức lương nhận được thoả đáng nhất.
- Giám sát lao động: giúp nhà quản trị tiến hành kiểm tra, theo dõi, giám sát người lao động làm việc theo kế hoạch của mình nhằm đạt được những mục tiêu mong đợi, đảm bảo tiền lương chi ra phải đạt hiệu quả cao. Hiệu quả của việc chi trả lương không chỉ tính theo tháng, quý mà còn được tính theo từng ngày, từng giờ trong toàn doanh nghiệp hoặc ở các bộ phận khác nhau.
- Điều hoà lao động: đảm bảo vai trò điều phối lao động hợp lý, người lao động sẽ từ nơi có tiền lương thấp đến nơi có tiền lương cao hơn. Với mức lương thoả đáng, họ sẽ hoàn thành tốt các công việc được giao.
- Tích luỹ: với mức tiền lương nhận được, người lao động không những duy trì cuộc sống hàng ngày mà còn để dự phòng cho cuộc sống sau này khi họ đã hết khả năng lao động hoặc gặp rủi ro bất ngờ.
Quỹ tiền lương, các hình thức trả lương và các loại tiền thưởng:
2.3.1 Quỹ tiền lương trong doanh nghiệp.
Căn cứ vào kết quả thực hiện nhiệm vụ sản xuất kinh doanh, các doanh nghiệp xác định nguồn quỹ lương tương ứng để trả cho người lao động. Nguồn này bao gồm:
- Quỹ tiền lương theo đơn giá tiền lương được giao
- Quỹ tiền lương bổ xung theo chế độ quy định của Nhà nước.
- Quỹ tiền lương từ các hoạt động sản xuất kinh doanh dịch vụ khác ngoài đơn giá tiền lương được giao.
- Quỹ tiền lương dự phòng từ năm trước chuyển sang.
Nguồn quỹ tiền lương nêu trên được gọi là tổng quỹ tiền lương.
Như vậy cán bộ công nhân viên sẽ được nhận tiền lương phụ cấp từ quỹ tiền lương của doanh nghiệp. Trong doanh nghiệp việc quản lý quỹ lương đòi hỏi phải hết sức chặt chẽ, hợp lý, hiệu quả và việc cấp phát lương phải đảm bảo nguyên tắc phân phối theo lao động... nhằm tăng năng suất lao động và hạ giá thành sản phẩm. Quản lý và kiểm tra việc thực hiện quỹ lương ở các doanh nghiệp phải do cơ quan chủ quản của doanh nghiệp tiến hành trên cơ sở đối chiếu, so sánh thường xuyên quỹ lương thực hiện với quỹ lương kế hoạch của doanh nghiệp trong mối quan hệ với việc thực hiện kế hoạch sản xuất kinh doanh của doanh nghiệp. Mặt khác thực hiện việc quản lý tiền lương là xác định mối quan hệ giữa người sử dụng lao động và người lao động với Nhà nước về phân chia lợi ích sau một thời kỳ, hay khoảng thời gian sản xuất kinh doanh nhất định cùng với một số chỉ tiêu tài chính khác. Việc xác định giá trị hao phí sức lao động cho một đơn vị sản phẩm, cho 1000 đ doanh thu hay lợi nhuận là hết sức quan trọng và cần thiết. Đó là chi phí hợp lệ trong giá thành, là căn cứ để xác định lợi tức chịu thuế , là công cụ để Nhà nước quản lý tiền lương và thu nhập trong các doanh nghiệp. Cụ thể, Nhà nước quyết định đơn giá tiền lương của các sản phẩm trọng yếu, đặc thù, các sản phẩm còn lại thì doanh nghiệp tự tính giá tiền lương theo hướng dẫn chung (Thông tư số 13/LĐTBXH-TT ban hành ngày 10/4/1997). Doanh nghiệp sẽ tự quyết định đơn giá tiền lương nhưng phải đăng ký với cơ quan chủ quản. Việc xác định đơn giá tiền lương có thể dựa trên các chỉ tiêu sau:
- Tổng sản phẩm (kể cả sản phẩm quy đổi) bằng hiện vật.
- Tổng doanh thu.
- Tổng thu trừ tổng chi.
- Lợi nhuận.
Doanh nghiệp sẽ xác định đơn giá tiền lương tuỳ theo tính chất, đặc điểm hoạt động sản xuất kinh doanh, cơ cấu tổ chức và chỉ tiêu kinh tế gắn với việc trả lương có hiệu quả của doanh nghiệp.
Sử dụng tổng quỹ tiền lương: Để đảm bảo quỹ tiền lương không vượt chi so với quỹ tiền lương được hưởng, dồn chi quỹ tiền lương vào các tháng cuối năm hoặc để dự phòng quỹ tiền lương quá lớn cho năm sau, có thể quy định phân chia tổng quỹ tiền lương theo các quỹ sau:
- Quỹ tiền lương trả trực tiếp cho người lao động theo lương khoán, lương sản phẩm, lương thời gian: ít nhất bằng 76% tổng quỹ lương.
- Quỹ khen thưởng từ quỹ lương đối với người lao động có năng suất chất lượng cao, có thành tích tốt trong công tác tối đa không quá 10% tổng quỹ tiền lương.
- Quỹ khuyến khích người lao động có trình độ chuyên môn, kỹ thuật cao, tay nghề giỏi: tối đa không quá 2% tổng quỹ tiền lương.
- Quỹ dự phòng cho các năm sau: tối đa không quá 12% tổng quỹ lương.
Các hình thức trả lương.
Hiện nay tại các doanh nghiệp người ta thường áp dụng hai hình thức trả lương chủ yếu sau:
- Trả lương theo thời gian.
Hình thức tiền lương theo thời gian là hình thức tiền lương mà số tiền trả cho người lao động căn cứ vào thời gian làm việc và tiền lương của một đơn vị thời gian ( giờ hoặc ngày). Như vậy tiền lương theo thời gian phụ thuộc vào 2 yếu tố:
- Mức tiền lương trong một đợn vị sản phẩm.
- Thời gian đã làm việc.
Tiền lương trả theo thời gian chủ yếu áp dụng đối với những người làm công tác quản lý, còn đối với công nhân sản xuất chỉ nên áp dụng ở những bộ phận không thể tiến hành định mức một cách chặt chẽ và chính xác hoặc vì tính chất hạn chế do việc trả công theo sản phẩm sẽ không đảm bảo được chất lượng sản phẩm, không đem lại hiệu quả thiết thực. Tuỳ theo yêu cầu và trình độ quản lý việc tính và trả lương theo thời gian có thể thực hiện theo hai cách:
Trả lương theo thời gian giản đơn: ( giờ, ngày, tháng...)
Chế độ trả lương theo thời gian giản đơn là chế độ trả lương mà tiền lương nhận được của mỗi người công nhân do mức lương cấp bậc cao hay thấp và thời gian làm việc thực tế ít hay nhiều quyết định.
Tiền lương trả cho người lao động được tính theo công thức:
L = LCB x TH
Trong đó: L: Lương nhận được.
LCB: Lương cấp bậc.
TH: Thời gian làm việc thực tế.
Chế độ trả lương này chỉ áp dụng ở những nơi khó định mức lao động, khó đánh giá công việc một cách chính xác. Có 3 loại tiền lương theo thời gian đơn giản:
Lương giờ: tính theo mức lương cấp bậc và số giờ làm việc.
Lương ngày: tính theo mức lương cấp bậc và số ngày làm việc thực tế.
Lương tháng: tính theo mức lương cấp bậc tháng.
Hình thức này có ưu điểm là đơn giản, dễ tính toán. Hơn nữa người công nhân có thể tự tính được tiền công mà mình được lĩnh. Bên cạnh đó, hình thức trả lương này cũng có những nhược điểm là nó mang tính chất bình quân nên không khuyến khích việc sử dụng hợp lý thời gian làm việc, tiết kiệm nguyên vật liệu, không tập trung công suất của máy móc thiết bị để tăng năng suất lao động.
Trả lương theo thời gian có thưởng:
Theo hình thức này thì tiền lương người lao động nhận được gồm tiền lương thời gian giản đơn và một khoản tiền thưởng khi đạt được những chỉ tiêu về số lượng hoặc chất lượng đã quy định như: nâng cao năng suất lao động, chất lượng sản phẩm, tiết kiệm vật tư hoặc hoàn thành xuất sắc nhiệm vụ được giao...
Hình thức này chủ yếu áp dụng đối vói công nhân phụ, làm việc phục vụ như công nhân sửa chữa, điều chỉnh thiết bị... Ngoài ra còn áp dụng cho công nhân chính làm việc ở những khâu sản xuất có trình độ cơ khí hoá cao, tự động hoá hoặc những công việc tuyệt đối phải đảm bảo chất lượng.
Chế độ trả lương này phản ánh trình độ thành tích công tác thông qua các chỉ tiêu xét thưởng đã đạt được. Do vậy nó khuyến khích người lao động quan tâm đến trách nhiệm và kết quả công tác của mình. Do đó cùng với ảnh hưởng của tiến bộ khoa học kỹ thuật chế độ tiền lương này ngày càng được mở rộng hơn.
- Trả lương theo sản phẩm.
Do có sự khác nhau về đặc điểm sản xuất kinh doanh nên các doanh nghiệp đã áp dụng rộng rãi các hình thức tiền lương theo sản phẩm với nhiều chế độ linh hoạt. Đây là hình thức tiền lương mà số tiền người lao động nhận được căn cứ vào đơn giá tiền lương, số lượng sản phẩm hoàn thành và được tính theo công thức:

Qi: khối lượng sản phẩm i sản xuất ra.
ĐGi: đơn giá tiền lương một sản phẩm loại i.
i: số loại sản phẩm i.
Tiền lương tính theo sản phẩm căn cứ trực tiếp vào kết quả lao động sản xuất của mỗi người. Nếu họ làm được nhiều sản phẩm hoặc sản phẩm làm ra có chất lượng cao thì sẽ được trả lương cao hơn và ngược lại. Chính vì vậy nó có tác dụng khuyến khích người lao động quan tâm đến kết quả lao động sản xuất của mình, tích cực cố gắng hơn trong quá trình sản xuất, tận dụng tối đa khả năng làm việc, nâng cao năng suất và chất lượng lao động. Hơn nữa trả lương theo sản phẩm còn có tác dụng khuyến khích người lao động học tập nâng cao trình độ văn hoá kỹ thuật, tích cực sáng tạo và áp dụng khoa học kỹ thuật vào quá trình sản xuất. Điều này tạo điều kiện cho họ tiến hành lao động sản xuất với mức độ nhanh hơn, sản xuất ra nhiều sản phẩm với chất lượng cao hơn. Trả lương theo sản phẩm đòi hỏi phải có sự chuẩn bị nhất định như: định mức lao động, xây dựng đơn giá tiền lương cho một sản phẩm, thống kê, nghiệm thu sản phẩm... đảm bảo cho quá trình tái sản xuất được cân đối hợp lý.
Căn cứ vào đơn giá sản phẩm và đối tượng trả công, hình thức trả lương theo sản phẩm có 5 loại sau:
Loại 1: Trả lương theo sản phẩm trực tiếp cá nhân:
Chế độ trả lương này được áp dụng rộng rãi với người trực tiếp sản xuất trong điều kiện quá trình sản xuất của họ mang tính độc lập tương đối, công việc có định mức thời gian, có thể thống kê, kiểm tra nghiệm thu sản phẩm một cách cụ thể và riêng biệt.
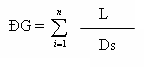
Đơn giá tiền lương có tính chất cố định được tính theo công thức:
ĐG = L x Ds
Trong đó: ĐG: đơn giá sản phẩm
L: lương theo cấp bậc công việc hoặc mức lương giờ
Ds: định mức sản lượng
Tiền công của công nhân được tính theo công thức:
Lcn =ĐG x Q
Trong đó: Lcn: tiền lương của công nhân
Q: khối lượng sản phẩm sản xuất được
Ưu điểm nổi bật của chế độ này là mối quan hệ giữa tiền công và kết quả lao động của họ được thể hiện rõ ràng làm cho quyền lợi và trách nhiệm của người lao động gắn chặt với nhau do đó kích thích công nhân cố gắng nâng cao trình độ chuyên môn, nâng cao năng suất lao động. Đồng thời hình thức này cũng dễ hiểu nên công nhân có thể tính được số tiền nhận được khi hoàn thành nhiệm vụ sản xuất.
Tuy nhiên chế độ lương này còn có nhược điểm là người lao động dễ chạy theo số lượng mà coi nhẹ chất lượng sản phẩm, ít quan tâm đến việc sử dụng tốt máy móc thiết bị và nguyên vật liệu, ít quan tâm chăm lo đến công việc của tập thể.
Loại 2: Trả lương theo sản phẩm tập thể:
Chế độ trả lương này thường áp dụng đối với những công việc đòi hỏi tập thể công nhân cùng thực hiện, có định mức thời gian dài, khó xác định kết quả của từng cá nhân. Do vậy khi thực hiện hình thức lương này thì trước tiên phải xác định đơn giá và tiền lương mà cả nhóm được lĩnh. Công thức tính đơn giá:
Trong đó: ĐG: đơn giá tính theo sản phẩm tập thể
L: tổng tiền lương theo cấp bâc công việc của cả tổ
Ds: định mức sản lượng cả tổ
Đt: định mức thời gian
Tiền công của cả tổ, nhóm công nhân tính theo công thức:
LNCN = ĐG x Q
Trong đó: LNCN : tiền lương của nhóm công nhân
ĐG: đơn giá tính theo sản phẩm
Q: khối lượng sản phẩm sản xuất được
Sau khi xác định được tiền lương cả đơn vị thì tiến hành chia lương cho từng công nhân. Tuỳ theo tính chất công việc mà doanh nghiệp có thể lựa chọn một trong hai phương pháp chia lương sau:
Chia lương theo giờ – hệ số: Tiến hành qua 3 bước:
- Tính tổng số giờ hệ số của đơn vị – là số giờ qui đổi của các công nhân ở những bậc thợ khác nhau về giờ của công nhân bậc 1. Tổng số giờ hệ số được tính bằng cách lấy giờ làm việc của công nhân nhân với hệ số cấp bậc của người đó sau đó tổng hợp cho cả tổ.
- Tính tiền lương 1 giờ theo hệ số bằng cách lấy tiền lương cả tổ chia cho tổng số giờ hệ số của cả tổ đã tính đổi.
- Tính tiền lương cho từng công nhân bằng cách lấy tiền lương thực tế của một giờ nhân với số giờ làm việc.
b. Chia lương theo hệ số điều chỉnh: làm 3 bước:
- Tính tiền lương theo cấp bậc và thời gian làm việc của mỗi công nhân sau đó tổng hợp cho cả nhóm.
- Xác định hệ số điều chỉnh cho cả tổ bằng cách lấy tổng tiền lương thực lĩnh chia cho số tiền lương vừa tính trên.
- Tính tiền lương cho từng người căn cứ vào hệ số điều chỉnh và tiền lương đã lĩnh lần đầu của mỗi người.
Ngoài ra nhiều doanh nghiệp còn áp dụng việc chia lương theo phân loại lao động ra A, B, C...
Ưu điểm: Hình thức này khuyến khích công nhân trong tổ, nhóm nâng cao trách nhiệm trước tập thể, quan tâm đến kết quả của tổ, đồng thời quan tâm đến nhau hơn để giúp nhau cùng hoàn thành công việc.
Nhược điểm: Sản lượng của mỗi công nhân không trực tiếp quyết định tiền công của họ nên ít kích thích công nhân nâng cao năng suất cá nhân.
Loại 3: Trả lương theo sản phẩm gián tiếp.
Thực chất của hình thức này là dựa vào công nhân chính để tính lương cho công nhân phụ. Hình thức này được áp dụng trong trường hợp công việc của công nhân chính và công nhân phụ gắn liền với nhau nên không trực tiếp tính được lương sản phẩm cho các cán bộ và công nhân khác.
Căn cứ vào định mức sản lượng và mức độ hoàn thành định mức của công nhân chính để tính đơn giá sản phẩm gián tiếp và tiền lương sản phẩm gián tiếp của công nhân phụ. Tiền lương theo sản phẩm gián tiếp dược tính theo hai bước:
Bước 1: tính đơn giá:
Trong đó: ĐG: đơn giá tính theo sản phẩm gián tiếp.
L: lương cấp bậc tháng công nhân phụ, phục vụ và quản lý.
Ds: định mức sản lượng của công nhân chính trong tháng.
Bước 2: tính lương sản phẩm gián tiếp:
LGT = ĐG x Q TH
Trong đó: Q TH: sản lượng thực hiện trong tháng.
Ưu điểm cơ bản của hình thức này là làm cho mọi cán bộ công nhân viên đều quan tâm đến vấn đề nâng cao năng suất lao động và chất lượng sản phẩm, tạo điều kiện cho doanh nghiệp đạt được hiệu quả cao trong sản xuất kinh doanh.
Loại 4: Tiền lương theo sản phẩm luỹ tiến.
Chế độ trả lương này áp dụng ở những khâu trọng yếu của sản xuất hoặc khi sản xuất đang khẩn trương mà xét thấy việc giải quyết những tồn tại ở khâu này có tác dụng thúc đẩy sản xuất ở những khâu khác có liên quan, góp phần hoàn thành vượt mức kế hoạch của doanh nghiệp.
Ưu điểm của hình thức tiền lương này là khuyến khích công nhân tăng nhanh số lượng sản phẩm, làm cho tốc độ tăng năng suất lao động nên phạm vi áp dụng chỉ đối với khâu chủ yếu của dây chuyền hoặc vào những thời điểm nhu cầu thị trường về loại sản phẩm đó rất lớn hoặc vào thời điểm có nguy cơ không hoàn thành hợp đồng kinh tế.
Để hình thức tiền lương này có hiệu quả cần chú ý điều kiện cơ bản là: Mức tăng đơn giá tiền lương phải nhỏ hơn hoặc bằng mức tiết kiệm chi phí cố định nghĩa là:
Trong đó:Kđ: hệ số tăng đơn giá sản phẩm luỹ tiến.
L: hệ số tiền lương trong giá thành đơn vị sản phẩm.
H: hệ số tăng sản lượng đạt được.
C: hệ số chi phí cố định trong giá thành.
Loại 5: Trả lương khoán.
Hình thức này được áp dụng trong trường hợp không định mức được chi tiết cho từng công việc hoặc định mức được nhưng không chính xác hoặc những công việc nếu giao từng chi tiết, từng bộ phận sẽ không có lợi mà phải giao toàn bộ khối lượng công việc cho công nhân hoàn thành trong một thời gian nhất định.
Hình thức này khuyến khích công nhân hoàn thành nhiệm vụ trước thời hạn, đảm bảo chất lượng công việc thông qua hợp đồng giao khoán. Tuy nhiên với hình thức lương này thì khi tính toán đơn giá phải hết sức chặt chẽ, tỉ mỉ để xây dựng đơn giá tiền lương chính xác cho công nhân nhận khoán.
Ngoài những hình thức tiền lương chủ yếu nói trên theo Nghị định 317/ C T – HĐBT ngày 01/09/1990 các doanh nghiệp có thể áp dụng hình thức trả lương theo định mức biên chế (khoán quỹ lương). Doanh nghiệp áp dụng định mức biên chế thì quỹ lương chế độ bằng tổng lao động định mức lao động hợp lý (sau khi đã sắp xếp lại lao động, kiện toàn tổ chức bộ máy quản lý xác định rõ chức năng nhiệm vụ và biên chế các phòng ban). Công ty tính toán và khoán quỹ lương cho từng phòng ban, bộ phận theo nguyên tắc hoàn thành kế hoạch công tác. Nếu chi phí bộ máy gián tiếp ít thì thu nhập cao, ngược lại không hoàn thành kế hoạch chi phí nhiều, biên chế lớn thì thu nhập ít.
Chế độ tiền lương khoán khuyến khích công nhân hoàn thành nhiệm vụ trước thời hạn, đảm bảo chất lượng công việc thông qua hợp đồng giao khoán chặt chẽ. Tuy nhiên chế độ trả lương này khi tính toán đơn giá phải hết sức chặt chẽ, tỉ mỉ để tránh gây thiệt thòi cho người nhận khoán cũng như người giao khoán.
Các loại tiền thưởng.
Tiền thưởng là một biện pháp kích thích vật chất có tác dụng rất tích cực đối với việc thúc đẩy người lao động phấn đấu thực hiện công việc ngày càng tốt hơn. Thưởng có rất nhiều loại, trong thực tế doanh nghiệp có thể áp dụng một số hay tất cả các loại tiền thưởng sau:
- Thưởng năng suất, thưởng chất lượng: áp dụng khi người lao động thực hiện tốt hơn mức độ trung bình về số lượng, chất lượng sản phẩm hoặc dịch vụ.
- Thưởng tiết kiệm: áp dụng khi người lao động sử dụng tiết kiệm các loại vật tư, nguyên vật liệu... có tác dụng giảm giá thành sản phẩm dịch vụ mà vẫn đảm bảo chất lượng theo yêu cầu.
- Thưởng sáng kiến: áp dụng khi người lao động có sáng kiến cải tiến kỹ thuật, tìm ra các phương pháp làm việc mới... có tác dụng nâng cao chất lượng sản phẩm dịch vụ.
- Thưởng lợi nhuận: áp dụng khi doanh nghiệp làm ăn có lãi trong trường hợp này người lao động sẽ được chia một phần tiền dưới dạng tiền thưởng. Hình thức này áp dụng cho công nhân viên vào cuối quý, sau nửa năm hoặc cuối năm tuỳ theo hình thức tổng kết hoạt động kinh doanh của doanh nghiệp.
- Thưởng do hoàn thành vượt mức kế hoạch sản xuất: áp dụng khi người lao động làm việc với số sản phẩm vượt mức quy định của doanh nghiệp.
Các loại phúc lợi.
Các loại phúc lợi mà người lao động được hưởng rất đa dạng và phong phú, nó phụ thuộc vào nhiều yếu tố khác nhau như: quy định của Chính phủ, tập quán trong nhân dân, mức độ phát triển kinh tế, khả năng tài chính hoặc hoàn cảnh cụ thể của doanh nghiệp. Phúc lợi thể hiện sự quan tâm củadoanh nghiệp gồm có:
- Bảo hiểm xã hội và bảo hiểm y tế .
- Hưu trí.
- Nghỉ phép, nghỉ lễ.
- Ăn trưa do doanh nghiệp đài thọ.
- Trợ cấp của doanh nghiệp cho cán bộ công nhân viên đông con hoặc có hoàn cảnh khó khăn.
- Quà tặng của doanh nghiệp cho cán bộ công nhân viên vào các ngày lễ, tết hoặc các dịp sinh nhật, cưới hỏi...
- Tổ chức thăm quan, du lịch cho cán bộ công nhân viên bằng kinh phí tài trợ của cơ quan, công đoàn cơ quan.
Q