Sự kích thích của cơ tim
Ở chương 4 chúng ta đã mô tả cả về số chất lượng và định lượng hoạt động của màng tế bào dễ bị kich thích thông qua hệ thức Hodgkin-Huxly. Điều này đặt nền móng cho chương 21 nơi mà đáp ứng của tế bào thần kinh với kích thích điện được xem xét. Chương này quan quan tâm đến đáp ứng của cơ tim với đáp ứng điện. Nó dựa trên những nguyên tắc cơ bản giống nhau, nhưng xem xét ứng dụng riêng biệt của nó trong việc tạo và khử nhịp tim (Greatbatch and Seligman, 1988; Tacker, 1988; El-Sherif and Samet, 1991).
Có một số sự khác biệt đáng kể mà phân biệt được hoạt động của tim từ sự kích thích của dây thần kinh trong FES (chương 22), nó được liệt kê trong bảng 32.1. Trước tiên là về sự khác nhau của kích thước trong 2 trường hợp. Với sự kích thích của tế bào thần kinh thì vùng mục tiêu là sự sắp xếp của vài mm vuông, trong khi vùng mục tiêu trong tim là sự sắp xếp của vài cm vuông. Với FES nó là thường xuyên cần thiết để đạt tới một đáp ứng phân loại tốt, dẫn đến sự chọn lựa các sợi cơ có đương kính từ nhỏ đến lớn. FES do đó đối lập với kích thích điện của mô tim nơi mà một kích thích hoạt động hoặc là toàn bộ tim hoặc không gì cả như là hậu quả của cấu trúc hợp bào. Kích thước lớn của tim thường có nghĩa là mô dễ bị kích thích mà sự dễ bị kích thích phải được tránh có thể được loại trừ dựa trên sự phân chia không gian tốt. Trong quan điểm về hợp bào tim sự sắp xếp vật lý của các điện cực kích thích không có trong bất kì cách giới hận hoặc yêu cầu nào. Một thách thức lớn nhất trong FES là cách để chống lại mệt mỏi, may mắn thay, cơ tim không bao giờ mệt. Tuy nhiên, tất cả những ưu điểm trên không sai với cơ tim. Chúng ta đề cập đến việc chăm sóc phải được thực hiện rằng một kích thích máy tạo nhịp tim không được chuyển một cách vô tình trong khoảng dễ bị tổn thương, hoặc một chuỗi hậu quả nghiêm trọng có thể xảy ra. Điều nguy hiểm này không phát sinh trong cơ vân.
Cơ tim | Cơ vân |
Phạm vi đích lớn | Phạm vi đích được giới hạn |
Dễ tránh kích thích của dây thần kinh không mong muốn | Mô dễ bị kích thích để có thể tránh được gần với mô đích |
Tất cả các tế bào là giống nhau về kích thước và khả năng dễ bị kích thích | Các sợi cơ có đường kính khác nhau, các vấn đề có liện quan đến lực cơ, trình tự có thể khác với bình thường |
Không bao giờ mệt mỏi | Sự mỏi cơ phải được quan tâm |
Xung T | Không có thớ |
Chỉ dẫn về sự tạo nhịp tim
Ở chương 7 chúng ta đã mô tả hệ thống dẫn tim thông thương. Máy tạo nhịp tim của cơ thể chúng ta nằm ở tâm nhĩ và có thể đáp ứng khởi tạo nhịp tim. Nhịp tim bắt đầu với hoạt động của mô tâm nhĩ trong vùng tạo nhịp tim (ví dụ nốt SA) được theo sau bởi sự lan tỏa từ tế bào đến tế bào của sự dễ bị kích thích trong suốt tâm nhĩ.Chỉ liên kết đơn giản của sự kết nối mô dễ bị kích thích từ tâm nhĩ đến tâm thất là hệ thống dẫn nhĩ thất. Chỉ liên kết đơn giản của mô dễ bị kích thích kết nối từ tâm nhĩ đến tâm thất là hệ thống dẫn AV. Sự truyền kích thích ở đây diễn ra với vận tốc chậm, nhưng tại điểm cuối của tâm thất bó His mang sự kích thích đến nhiều phía bên phải và trái tâm thất tại một vận tốc tương đối cao là 1-2 m/s. Sự truyền dẫn chậm trong lỗ nhĩ thất gây ra một thời gian trễ 0.1s giữa kích thích tâm nhĩ và tâm thất; thời gian này tạo điều kiện cho đổ đầy tâm thất từ khoảng thời gian tâm nhĩ co đến tâm thất co. (Nếu không có sự co của tâm nhĩ trước thì máu ra khỏi tim có thể giảm 15%). bệnh ảnh hường tới lỗ AV có thể gây ra trở ngại đối với độ dẫn AV. Điều này được mô tả bởi mức độ khác nhau của khối. Trong khối thứ nhất hiệu ứng là độ dẫn chậm, trong khối thứ hai có một nhịp được đập trước, nhưng trong khối thứ ba không có tín hiệu nào tới tâm thất cả. Điều kiện cuối cùng này được gọi là khối tâm hoàn toàn. Trong trường hợp này tâm thất hoàn toàn tách biệt với tâm nhĩ. Trong khi nhịp tim tâm nhĩ vẫn được xác định tại nút AV thì tâm thất được tạo nhịp bởi những vị trí tâm thất ngoài. Dưới điều kiện bình thường tâm thất được điều khiển bởi tâm nhĩ, máy tạo nhịp tâm thất ẩn phải có mọt tốc độ châm. Hậu quả là trong khối tâm hoàn toàn tâm thất đập tại tốc độ chậm hơn (nhịp tim chậm). Với điều kiện này có thể không yêu cầu sự can thiệp của y học, nhưng nếu nhịp tim quá chậm, điều kiện này được biết như là hội chứng Stokes-Adams, tình trạng trở nên đe dọa tới mạng sống. Việc tiên lượng trong trường hợp khối tâm hoàn toàn và triệu chứng Stokes-Adams chiếm 50% số người tử vong trong một năm. Trong trường hợp này, việc điều trị bằng máy tạo nhịp tim là không thể thiếu được.
Một điều kiện khác, được biết như là hội chứng xoang bệnh, cũng là một trong những bệnh được điều trị bằng máy tạo nhịp tim. Ở đây nhịp tim chậm tự nó dẫn đến từ tâm nhĩ là chậm một cách bình thường. Do đó mặc dù lỗ AV là bình thường thì tâm thất cũng được điều kiển ở tốc độ thấp.
Máy tạo nhịp tim
Nguyên tắc tạo nhịp tim
Chúng ta đã từng chú ý ở phần trước sự khác nhau trong kích thích của mô tim đối lập với mô thần kinh.Cở bản, từ tim là một hợp bào điện, sự dễ bị kích thích trong một cố vùng có thể lan ra một cách nhanh chóng toàn bộ tim. Hơn thế, tim là một cơ quan lớn, các điện cực kích thích yêu cầu ko thiết kế đặc biệt. và từ có một sự phân chia tốt từ những mô dễ bị kích thích khác nhau, từ tất cả những gì ngường kích thích cần thiết được yêu cầu (lần một yếu tố an toàn), chúng có thể được hoàn thiện một cách bình thường mà ko có sự dễ bị kích thích của cơ quan khác. Nhưng thách thức kĩ thật như vậy nằm ở những vị trí khác với nguồn điện vật lý cơ bản được mô tả ở những chương trước. Những việc quan trọng phải làm chủ yếu là với sự quyết định hợp lý để cung cấp hay giữ lại xung và/hoặc để điều chỉnh thời gian của chúng để làm cho chúng giống sinh lý đến mức có thể. Phần tiếp theo được dành để mô tả nhừng khía cạnh khác nhau của thiết kế máy tạo nhịp tim và làm sáng tỏ những điểm nêu ở trên. Chúng tôi xem xét các chủ đề sau:
- Sự điều khiển xung nhịp
- Vị trí của kích thích
- Phép đo sự dễ bị kích thích và sự cấu hình
- Nguồn năng lượng có thể cấy được
- Điện cực
Sự điều khiển xung nhịp
Máy tạo nhịp tim có thể cấy được dưới da sớm nhất được thiết kế để điều khiển hôi chứng Stokes-adams và cho mục đích này thiết kế đơn giản nhất ở một nơi mà tâm thất được kích thích một cách liên tục với tốc độ an toàn. Việc thiết kế bộ phát xung yêu cầu đơn giản là sự phát của xung ngưỡng truyền qua tại tốc độ tim cố định mong muốn. Một xung khoảng thời gian là 2ms, biên độ (chủ yếu là điện thế pin) từ 5-8 V, và tần số khoảng 72 nhịp mỗi phút thường được sử dụng. Nói chung các điện cực đính vào tâm thất, và cả điện cực lẫn máy phát đều được cấy theo sau một phẫu thuật mở ngực.
Hệ thống này có một số lỗi. Đầu tiên, nó không đáp ứng được nhu cầu sinh lý cho một nhịp tim khác nhau phụ thuộc vào nhu cầu ôxi của con người. (ví dụ, tăng lên trong quá trình thực hiện). Thứ hai,bệnh nhân chỉ có thể có triệu chứng Stock-Adams trong thời gian rời rạc. Bằng cách tạo nhịp trong suốt sự hoạt động đều của tâm thất, không chỉ là có một ống không cần thiết trong pin cấy mà còn không có sự phối hợp giữa kích thích nhân tạo và hoạt động tự nhiên (thực tế, dạng kích thích này gọi là không đồng bộ). Một hậu quả nguy hiểm tiềm tàng là kích thích nhân tạo có thể rơi vào sự hoạt động tự nhiên T-wave thời gian tạo nhịp tim nhanh và rung dễ bị tổn thương.
Riêng đối với việc tạo ra mạch tích hợp nó có thể cấy điện tử có thể cảm nhận sự hiện diện của tâm nhĩ và/ hoặc tín hiệu tâm thất và để đáp ứng trong sinh lý một cách thích hợp. Ví dụ, nếu bệnh lý này lệch với khối tâm hoàn toàn, sau đó xung tâm nhĩ có thể được bình thường. Một thiết kế máy tạo nhịp tim cải tiến là máy cảm nhận sự dễ bị kích thích của tâm nhĩ và dẫn đến kích thích tạo nhịp tâm thất sau thời gian trễ phù hợp (khoảng 0.1 ms). Một sự luân phiên là để cảm nhận sự dễ kích thích ngoại tâm thu, khi nó được thực hiện. Trong hiện tại này của nó, một kích thích nhân tạo được hạn chế (hoặc định thời để trùng khớp với sóng R). Trong sự vắng mặt của xung tâm thất, sau một khoảng trễ lớn nhất có thể chấp nhận được, một xung tâm thất nhân tạo được phát ra. Máy tạo nhịp tim như vậy được gọi là loại "nhu cầu".
Vào giữa những năm 1970 máy tạo nhịp tim đã đang được phát triển với lập trình logic của loại này. Một mã thuật ngữ đã được phát triển để mô tả hoạt đông riêng hợp lý của thiết kế máy tạo nhịp tim; được trình bày trong bảng 23.2. (mặc dù mã này đã được thay thế bằng một mã tinh vi hơn, nhưng nó vẫn được gọi trong văn bản hiện tại, và lý do được bao gồm ở đây.) Mã bao gồm 3 kí tự: thứ nhất,cho buồng tạo nhịp (A= tâm nhĩ, V = tâm thất, D = cả hai,ví dụ, dual); thứ hai, buồng cảm nhận; và thứ ba, dạng đáp ứng. Vì thế sự không đồng bộ, nhịp cố định, dạng sớm với tạo nhịp tâm thất thường là V00. VVI mô tả tình trạng nơi một kích thích tâm thất được ức chế nếu một nhịp tâm thất bên trong có thể chấp nhận được cảm nhận. Trong VAT, sinh lý điện tâm nhĩ là bình thường; do đó tâm nhĩ được cảm nhận và tâm thất được kích hoạt ( sau một thời gian trễ phù hợp).
Tốc độ buồng | Độ nhạy buồng | Đáp ứng | Mô tả hoạt động |
V | 0 | 0 | Dẫn tốc điều nhịp ổn định buồng thất |
A | 0 | 0 | Dẫn tốc điều nhịp ổn định buồng nhĩ |
D | 0 | 0 | Dẫn tốc điều nhịp ổn định AV |
V | V | I | Dẫn tốc điều nhịp và cảm biến hất buồng thất(kiểu ức chế) |
V | V | T | Dẫn tốc điều nhịp và cảm biến buồng thất(kiểu kích hoạt) |
A | A | I | Dẫn tốc điều nhịp và cảm biến buồng nhĩ (kiểu ức chế) |
A | A | T | Dẫn tốc điều nhịp và cảm biến buồng nhĩ(kiểu kích hoạt) |
V | V | T | Dẫn tốc điều nhịp buồng thất và cảm biến buồng nhĩ(kiểu kích hoạt) |
D | V | I | Dẫn tốc điều nhịp AV, cảm biến buồng thất(kiểu ức chế) |
Dual Chamber Multiprogrammable
Sự nâng cấp tiếp theo trong công nghệ đã từng có thể tạo ra việc cấy ghép các bộ vi xử lý. Điều này, cùng với sự nâng cấp công nghệ, đã cho phép đặt các cảm biến/tạo nhịp đập thường xuyên trong cả tâm nhĩ và tâm thất. Một khía cạnh quan trọng của nâng cấp này là nguồn năng lượng, chủ yếu là pin lithium, loại pin cải thiện đáng kể năng lượng có sẵn. Kết quả là một danh mục lớn hơn nhiều của hoạt động sinh lý điện. Một dấu hiệu của sự tinh tế này là máy tạo nhịp tim hiện nay. Ba kí tự đầu tiên giống trong mã ICHD gốc được mô tả trong bảng 23.2. Kí tự thứ tư và thứ năm được mô tả trong bảng 23.3. Nó đã mô tả hai chức năng thêm vào của máy tạo nhịp tim có thể cấy được đã trở thành điều có thể với công nghệ hiện nay.
Kí tự thứ tư và thứ năm của mã máy tạo nhịp tim NASPE/BPEG
Bảng | |
Kí tự thứ tư : điều biến tỉ lệ | Kí tự thứ năm: chống lại nhịp đâp của tim |
0 =node | 0 = node |
P = chương trình đơn giản | P = Dẫn tốc điều nhịp (chống lại nhiễu nhịp tim) |
M = Chương trình tổng hợp | S = sự chấn động (shốc) |
C = Giao tiếp | D = 2 kênh (ví dụ P và S) |
R = Điều biên tỉ lệ |
Source: Bernstein, et al. (1987)
Điều chế tốc độ
Tốc độ tim tự nhiên được điều chế bởi hệ thống thần kinh trung tâm giao cảm và phó giao cảm. Những đáp ứng đó với hoạt động bộ phận nhận cảm áp trong hệ thống tim mạch, sự giảm ôxi trong máu, luyện tập,v.v..Mặc dù không thể phát minh ra một hệ thống có thể đáp ứng tất cả các điều trên, những tín hiệu điều khiển sinh lý đã từng được giới thiệu mà được tin tưởng một cách đáng kể để đánh giá đầu ra của tim được mong muốn. Những điều này bao gồm sự bão hòa oxi (sử dụng phương pháp quang), sự chuyển động vật lý của cơ thể, nhịp hô hấp, nhiệt độ, và v.v..Sự giới thiệu về điều chế tốc độ là, có hiệu lực, nhịp thích ứng để đạt được nhiều hơn hoạt động sinh lý thực tế và biểu diễn một mức độ cao của sự tinh tế hơn khả năng trước đây. Mục đích là để giữ hệ thống như một tổng thể trong một trạng thái sinh lý hợp lý.
Vị trí thứ tư trong bảng mã NASPE/BPEG (bảng 23.3) chỉ ra R nếu hệ thống có khả năng điều chế tốc độ, như được mô tả trong phần trước. Khi đặc điểm này không thể hiện, vị trí này mô tả các mức độ mà các giá trị hoạt động của máy phát xung có thể được thay đổi một cách không xâm phạm. S (= lập trình được đơn giản) được gán cho khả năng điều chỉnh tốc độ, đầu ra, hoặc cả hai; M (= lập trình được nhiều) mô tả khả năng lập trình mở rộng hơn; và C (= giao tiếp) sự có mặt của một vài mức trao đổi từ xa. Mức độ tinh tế này ngụ ý một hệ thống đa lập trình. Tương tự R (= điều chế tốc độ) đơn giản để chỉ một vài mức độ đo từ xa.
Chống lại nhịp tim nhanh/ sự rung tim
Như chúng ta đã từng thấy, máy tạo nhịp tim được đưa ra ban đầu để dành cho những bệnh nhân có hội trứng Stokes-Adams. Những yêu cầu thiết kế là đơn giản và có thể được gặp với bộ phát xung tốc độ cố định (chế độ V00). Với sự nâng cao của kỹ thuật phức tạp, chức năng của máy tạo nhịp tim được mở rộng và kéo dài cho bệnh nhân với các điều kiện như hội chứng xoang bệnh. Một loại bổ sung quan trọng là bệnh nhân với chứng tim đập nhânh ác tính. Những bệnh nhân này có tiền sử của chứng tim đập nhanh nếu không được chữa trị có thể dẫn đến rung tim và chết. Hai sự tiếp cận là có thể. Một là đặt xung máy tạo nhịp tim nhanh (nhanh hơn xấp xỉ 20-30% so với nhịp tim nhanh) được chuyển tới tâm nhĩ hoặc tâm thất. Điều này có thể chấm dứt rối loạn nhịp. Phương pháp tiếp cận thứ hai đòi hỏi phải áp dụng một cú shock năng lượng cao với các dòng tim so với thời điểm hiện tại với khử rung tim bên ngoài. (Một sự mô tả của hệ thống khử rung tim, bao gồm máy khử rung tim được cấy dưới da, tạo thành vật liệu của chương 24).
Ở vị trí thứ năm của mã NASPE/BPEG (bảng 23.3), chức năng chống lại rối loạn tim đập nhanh của máy tạo nhịp tim được mô tả. Với P (= Tạo nhịp), sự kích thích năng lượng thấp (được chú ý ở trên ),nằm trong dạng bursts, ở hiện tại. S (=shock) phản ánh sự tồn tại của khả năng can thiệp chống rối loạn tim nhanh năng lương cao. D (dual) mô tả cả sự can thiệp năng lượng cao và thấp. Nhiều người cho rằng sự tạo nhịp vĩnh viện cho sự đập nhanh tâm thất là quá nguy hiểm vì nó có thể dẫn tới tâm thất đập nhanh bất ổn hoặc thậm chí rung tâm thất. Với những khả năng có thể xảy ra đó thì một sự shock được xem là thiết yếu. (một ngoại trừ là sự tạo nhịp so bác sĩ tạo ra, khi có sự có mặt của bác sĩ, được sử dụng như một biện pháp thêm vào cho sự đạp nhanh tâm thất được duy trì). Với mục đích này sự kích hoạt không xâm lấn đạt được bởi từ hoặc phép đo từ xa rf.
Vị trí của kích thích
Trong thế hệ máy tạo nhịp tim đầu tiên, điện cực được gắn trực tiếp vào tim và dây dẫn dẫn tới máy phát xung được đặt trong một túi ở ngực hoặc bụng. Nhưng để tránh những trấn thương của ngực điện cực được đặt tăng lên ở khoang tim thông qua đường tĩnh mạch trao đổi. ( Nhóm tĩnh mạch trao đổi trong khi rất phổ biến, là một thuật ngữ sai khi nó thực sự mắc điện cực thông qua một vein vào tâm nhĩ phải và/hoặc tâm thất phải). Ở hiện tại, khoảng 95% điện cực máy tạo nhịp tim là màng trong tim. Một vài vein đã từng được sử dụng, tiêu biểu, dưới xương đòn, đầu, ngoài cổ. Các điện cực được đặt bằng tay bởi một dây thông cứng điểm cuối xa ở dưới fluoroscopic visualization. Điện cực tâm nhĩ phải được móc vào phần phụ của tâm nhĩ phải, trong khi điện cực tâm thất phải được đặt ở vị trí đỉnh của tâm thất phải. Các đỉnh của điện cực được tạo ra với các nhánh đặt ở bờ tam thất phải và phần phụ của tâm nhĩ phải cho ổn định. (Ngoài ra, sau khi loại bỏ các dây thông, tâm nhĩ dẫn tới những đường cong có hình dạng J tạo them sự ổn định) Máy phát xung thường được đặt ở vị trí trước ngực.
Từ quan điểm về sinh lý điện, vị trí hoạt động của điện cực cơ tâm thất và màng cơ tim là không quan trọng. Từ vị trí tim bên phải sóng kích hoạt phải giống như ở khối nhánh bó trái và phản ánh độ dẫn cell-to-cell chủ yếu. Hệ quả huyết động học là đầu ra của tim thỏa mãn được đạt tới. Các thí nghiệm cho thấy rằng dòng kích thích ngưỡng không thay đổi nhiều, cho thấy một sự đồng cộ nhất định giữa nguồn dòng và sự khủ cực đạt được. Một thực tế có thể thiết lập một mô hình lý tưởng đơn giản dựa trên mô hình bidomain trong chương 9, và điều này được thực hiện ở phần sau.
Phép đo độ dễ kích thích và sự cấu hình
Trong phần 9.5 chúng tôi đã xem xét màng vận chuyển được tạo ra tiềm tang từ nguồn dòng điểm trong một bidomain đẳng hướng đồng nhất. Kết quả có thể được thây đổi dễ dàng để trường hợp hiện tại nơi mà điện cực có một bán kính xác định a. Bởi sự đối xứng hình cầu chỉ thay đổi trường r. Tại r = a ta có

Dòng từ điện cực chỉ vào không gian giữa. Thực tế, điều kiện biên trong không gian giữa là tổng số dòng đi vào không gian tại r = a là tổng dòng được cung cấp Ia. Nhìn vào biểu thức 23.1 và định nghĩa về Vm sau tại r = a ta có

Kết quả là điều kiện biên đã nêu ở trên bằng

ở đây = độ dẫn lưỡng vùng ở khoảng giữa, như được mô tả trong biểu thức 9.17
Ia = dòng được cung cấp, giả sử là cathode, vì thế mà có dấu -
Bây giờ đẳng thức 9.28 mô tả trạng thái của Vm trong cùng dưới điều kiện cố định ( Vm = KAe − γ / λ / r). Nếu nó được thế vào 23.3 và được tính cho hệ số Ka thì thu được
Thế ngược lại biểu thức 9.28 ta có

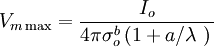
điện thế lớn nhất khi r = a, trong trường hợp này, biểu thức 23.5 sẽ rút gọn Vmmax

Một chú ý rằng từ đẳng thức 23.6 điện cực càng nhỏ thì điện thế dẫn càng lớn. Các điện cực lớn so với không gian cố định, điện áp được đưa vào thay đổi tỷ lệ nghịch với 4 lần bán kính điện cực; nhưng khi bán kính nhỏ hơn nhiều so với không gian cố định, điện thế chỉ thay như power của bán kính tỉ lệ nghịch. Với một đạo trình màng tim điện cực được bao quanh bởi mô tim ở một bên và máu ở một bên. Vì độ dẫn máu lớn hơn 3 lần so với mô tim, mô hình đẳng hướng vô cùng đơn giản của chúng ta dòng được vào nên có thể được giảm đi bởi một số nhân tố ngoài những gì nó có ở mô hình chuẩn được phát triển ở chương 9 và mở rộng ở trên. Chúng ta đã từng chọn nhân tố này khoảng 35%. Với một xung kích thích 1ms màng tế bào chuyển thành giá trị trạng thái bền vững giả (Cartee, 1991). Đăng thức 23.6 cho thấy điện thế được đưa vào trạng thái bền lớn nhất nếu cho a tương đương với bán kính của điện cực. Một điện cực dạng chuẩn có diện tích 8.8 mm2 (Breivik, Hoff, and Ohm, 1985). Nó được chuyển thành bán kính hình cầu cỡ 1.2 mm giống mô tả trong Miller et al. (1985). Chúng ta cũng chọn λ = 0.5 mm (Plonsey and Barr, 1982), và gán ( độ dẫn giữa như định nghĩa 9.17) có giá trị .002 S/cm. Suy ra

trong đó Ia là điện thế được cung cấp [mA]
Vmmax là điện thế màng tế bào [mV]
Nếu Ia = 0.44 ma, thì Vmmax = 15.0 mV, đó không phải là điện áp ngưỡng không hợp lý, xem xét nhiều xấp xỉ trong mô hình đơn giản, đồng nhất và đẳng hướng này. Kết quả là trong khoảng phép đo thông dụng (Breivik, Hoff, and Ohm, 1985) và ngưỡng dong thực nghiệm giá trị 0.05 mA / mm2 (Tarjan, 1911). Dựa trên công thức 23.6 cách sử dụng điên cực cỡ nhỏ sẽ giảm dòng yêu cầu cho điện thế màng vận chuyển ngưỡng được đưa tới, như đã chú ý ở trên. Có một giới hạn về tổng số kích thước điện cực có thể được giảm. Lý do là phải chạm tới dòng ngưỡng được yêu cầu cới điện thế pin cố định, và nó giới hạn trở kháng dòng lớn nhất có thể cho phép. Tuy nhiên, điều cuối cùng ở đây là trở kháng điện cực mô tăng tỉ lệ nghịch so với bán kính điện cực. Trong một thiết kế thực hành cũng nên bao gồm cả hiệu ứng có thể của sự phát triển của mô sơ xung quanh điện cực vì điều này sẽ làm tăng kích thước hiệu quả của bán kính a trong biểu thức 23.6. Chúng ta chú ý rằng trong biểu thức 23.6, Vm là dương ( sự khử cực) cho một điện cực cathod giả định ( đơn cực). Khi điện cực là đơn cực, điện cực chuẩn luôn được chọn giống trương hợp của khối phát xung. Ưu điểm chính của hệ thống đơn cực là chỉ một dây điện cực đơn ( mỗi phòng) phải được cấy ghép. Đối với đạo trình màng tim này kích thước nhỏ hơn so với một sóng điện tâm lưỡng cực được mong muốn một cách rõ ràng. Hơn nữa nó cũng thể hiện một vị trí dây nhỏ hơn trong van ba lá, thông qua đó các điện cực ống thông phải chạy. Một trong số các nhược điểm là sự hiện diện của dòng kích thích trong suốt một phần lớn ngực; vì thế vị trí cơ vân trong vùng này có thể bị kích thích, làm tăng nhiễu giật cơ. Cả cơ hoành và thần kinh cơ hoành cũng đã từng được biết đến hiệu ứng này. Điện cực lưỡng cực có một trường điện mà thay đổi theo 1 / r3 đúng hơn là 1 / r2 và do đó ít có khả năng các mô dễ bị kích thích từ xa từ các phía mà điện cực được đặt. Hơn nữa, khi các điện cực này đựợc sử dụng trong chế độ cảm nhận, hình dạng lưỡng cực ít nhạy hơn với nhiễu từ tns hiệu ở khoảng cách xa. Nhiễu điện từ như vậy có thể bị nhâm lẫn với tín hiệu tim và suy luận không chính xác nhiễu được vẽ bởi máy tạo nhịp tim đa khả năng lập trình. Với công nghệ hiện tại việc sử lý một dây đôi so với dây đơn mỗi buồng không còn quá lớn. Với nhiều lý do lịch sử hệ thống đơn được thiên về ở Mỹ, trong khi ở châu Âu là hệ thống lưỡng cực.
Nguồn năng lượng có thể cấy được
Tại thời điểm của sự phát triển của máy phát tín hiệu tim đầu tiên pin với tuổi thọ dài nhất là pin thủy ngân kẽm. Điều này được thông qua để máy tạo nhịp tim sử dụng, nhưng cho đến những năm 70, cái tốt nhất đạt được, trung bình, có tuổi thọ 2 năm. Vấn đề thứ hai với pin thủy ngân kẽm là sự giải phóng của khí hydro tại áp suất cao (300 psi). Một hậu quả là không thể tạo ra một cửa van kín cho pin. Vì thế trong năm 1970 bước hạn chế của tuổi thọ máy tạo nhịp tim là nguồn năng lượng này.
Phạm vi rất rộng của nguồn năng lượng cho máy tạo nhịp tim đã từng được đề cập và được nghiên cứu. Nó bao gồm kế hoạch mà tận dụng hóa học và năng lượng của cơ thể. Ví dụ, năng lượng từ nhịp tim đập tự nó tạo ra được nghiên cứu. Nhiều dạng tế bào năng lượng được quan tâm. Không có được thực tế sử dụng trên lâm sàng. Hơn nữa, hệ thống có thể được sạc lại sử dụng nguồn năng lượng bên ngoài cùng với mô cơ thể đã từng được thử, nhưng rất ít được sử dụng trong thực tế.
Một bước đột phá lớn là sự giới thiệu của pin lithium, loại pin ngày nay được sử dụng rộng rãi trong các hệ thống máy tạo nhịp tim mới. Phản ứng của Li và Iốt
Vì không có khí gi được tạo ra, pin lithium có thể được hàn kín. Hơn nữa những vấn đề về sự phân chia trong pin thủy ngân kẽm không thấy trong pin lithium nữa, sau đó, các phân tách tự xảy ra và tự phục hổi. Pin lithium cũng có một đặc trưng phân rã end-of-life chắc chắn mà nó yếu một cách chậm đủ để sự dò ra nó trong kiểm tra bình thường và thống kê của sự thay thế kịp thời. ngoài các tính năng hấp dẫn, xấp xỉ 50% tuổi thọ của pin lithium-iốt là 12 năm (Bernstein, 1991).
Điện cực
Hệ thống máy tạo nhịp tim bao gồm một hộp được đóng gói máy phát xung và yếu tố cảm ứng xung cùng với mạch logic phù hợp và pin, gói này được kết nối bởi đạo trình các điện cực. Đạo trình đưa tín hiệu tim từ tim đến điện cực và kích thích dong tim. Trong chức năng đơn giản, bộ phận cuối cùng được thể hiện việc thách thức các vấn đề kĩ thuật.
Đạo trình được cách ly dây mà phải mang dòng cới điện trở thấp và có khả năng hoạt động chính xác trong nhiều năm mặc dù bị uốn lại nhiều lần. Việc sử dụng kim loại khó uốn được reguired. Dây dẫn đầu tiên được xoắn hoặc bện lại và được đặt vào biên của ống thông nước tiểu. Bây giờ, ở Mỹ cuộn dây được cuộn xoắn ốc được ưu tiên sử dụng, nó được đặt và vị trí bởi que thăm. Hình dạng này chuyển sự chuyển động những dáng người khác nhau và tim về dạng xoắn, kim loại có thể được dùng dễ dàng. Cuộn dây có thể được làm bằng thép không gỉ, Eigiloy, hoặc MP35N, tất cả chúng được nấu thành hợp kim với độ bền tuyệt vời. Vật liệu cách ly được chứng minh tốt nhất là cao su silicon và polyurethane.
Điện cực chính nó cũng thường là hợp kim. Sự chế tạo bề mặt là quan trọng vì vết gãy rất nhỏ có thể trở thành một vị trí dò dòng và ăn mòn. Một dãy điện dung luôn được sử dụng để loại bỏ bất kỳ dòng DC tràn nào và đạt được điều kiện hai pha cân bằng được thảo luận trong chương 21. Việc sử dụng điện cực có nhiều lỗ hổng cũng đã từng được đề cập để nâng cao sự phát triển của các mô và sự ổn định hóa các điện cực. Điện cực màng tim thường trở thành túi collagen. Sử dụng biểu thức 23.6 chúng ta có thể xem xét sự tăng bán kính điện cực hiệu dụng, từ đó sự giảm điện áp kích thích, cho một nguồn dòng được đưa đến. Độ dày màng điển hình khoảng 0,6 mm (Miller et al., 1985) tăng từ 1.2 đến 1.8 mm trong ví dụ minh họa dẫn đến biểu thức 23.7. kết quả là một sự thay đổi hệ số trong 23.7:
Điều này chung qui là sự giảm độ kích thích 2.0. Thực tế trong nghiên cứu thực nghiệm , thấy một điều rằng ngưỡng bắt đầu tại thời điểm vị trí của nhịp dẫn tâm thất tăng bởi nhân tố 2-4 trong giai đoạn sau (Miller et al , 1985)
Sự kích thích từ của cơ tim
Một vài thí nghiệm với sự kích thích của cơ tim đã từng được công bố (Bourland et al., 1990; Irwin et al., 1970; Mouchawar et al., 1992).
Trong những thí nghiệm này, Mouchawar et al. (1992) đã sử dụng hai cuộn dây kích thích đồng diện đặt gần tim của một con chó bị gây mê. Cuộn dây có bán kính ngoài 8.5 cm, bề dầy 1.25 cm, và bao gồm 30 vòng. Khoảng cách từ cuộn dây đến tâm nhĩ trong ngực khoảng 2 đến 3.5 cm. Sự kích thích từ tạo ra một nhịp lệch trong những con chó bị gây mê với một khoảng năng lượng xấp xỉ 12kJ. Nó cao hơn nhiều so với năng lượng cần để kích thích từ tính hệ thống thần kinh ngoại vi của con người yêu cầu 400J.