các phương pháp triển khai hàm p(s)/q(s)
trong phân giải mạch điện bằng phép biến đổi laplace, kết quả đạt được là một hàm theo s có dạng p(s)/q(s) , trong đó p(s) và q(s) là các đa thức.
nếu p(s)/q(s) có dạng trong bảng 1 thì ta có ngay kết quả biến đổi laplace ngược. trong nhiều trường hợp ta phải triển khai p(s)/q(s) thành tổng các hàm đơn giản hơn và có trong bảng.
gọi m và n là bậc của p(s) và q(s)
có 2 trường hợp
* m<n, có thể triển khai ngay p(s)/q(s)
* m>n, ta phải thực hiện phép chia để được

p1(s) và q1(s) có bậc bằng nhau và ta có thể triển khai p1(s)/q1(s)
triển khai từng phần
trường hợp 1
q(s)=0 có nghiệm thực phân biệt s1 , s2, . . . sn.

ki (i= 1, 2,. . . ., n) là các hằng số xác định bởi:

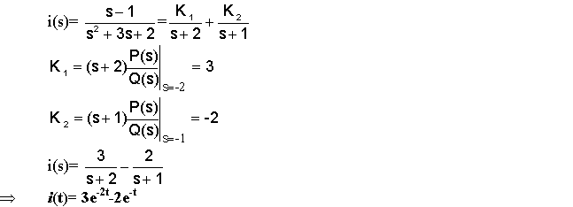
thí dụ 10.14
triển khai hàm 
phương trình s2+3s+2=0 có 2 nghiệm s1=-2 và s2=-1
trường hợp 2
q(s)=0 có nghiệm đa trùng bậc r

để xác định k1, k2, . . . kr, ta xét thí dụ sau:
thí dụ 10.15
triển khai 
nhân 2 vế phương trình (1) với (s+1)2
s+2=(s+1)k1+k2 (2)
cho s=-1, ta được k2=1
nếu ta cũng làm như vậy để xác định k1 thì sẽ xuất hiện các lượng vô định
để xác định k1, lấy đạo hàm theo s phương trình (2)
1+0=k1+0 ⇒ k1=1
tóm lại
và i(t) = e-t + te-t
với q(s)=0 có nghiệm kép, một hằng số được xác định nhờ đạo hàm bậc 1.
suy rộng ra, nếu q(s)=0 có nghiệm đa trùng bậc r, ta cần các đạo hàm từ bậc 1 đến bậc r-1.
trường hợp 3
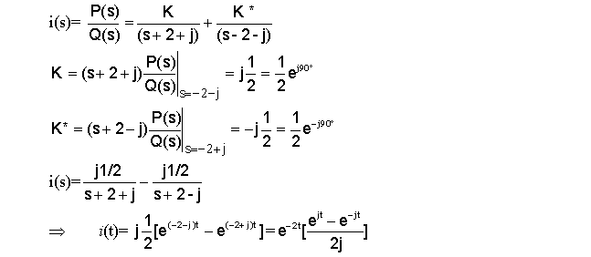
q(s)=0 có nghiệm phức liên hợp s=α ± jω
các hằng số k xác định bởi

thí dụ 10.16
triển khai 
hay i(t)=e-2tsint a
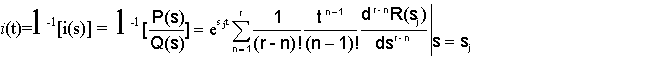
công thức heaviside
tổng quát hóa các bài toán triển khai hàm i(s)=p(s)/q(s), heaviside đưa ra công thức cho ta xác định ngay hàm i(t), biến đổi ngươc của i(s)
q(s)=0 có n nghiệm phân biệt

hoặc

trong đó sj là nghiệm thứ j của q(s)=0
thí dụ 10.17
giải lại thí dụ 10.14 bằng công thức heaviside

phương trình s2+3s+2=0 có 2 nghiệm s1=-2 và s2=-1

q(s)=0 có nghiệm đa trùng bậc r

sj là nghiệm đa trùng bậc r

thí dụ 10.18
giải lại thí dụ 10.15 bằng công thức heaviside

ap dụng công thức (10.27)
với 
và i(t) = e-t + te-t a
thí dụ 10.19
cho mạch điện (h 10.11), tụ c tích điện đến v0=1v và khóa k đóng ở t=0. xác định dòng i(t)


lấy biến đổi laplace

i(0+)= i(0-)=0
q(0+): điện tích ban đầu của tụ:
(để ý dấu của điện tích đầu trên tụ ngược chiều điện tích nạp bởi dòng i(t) khi chạy qua mạch)
thay giá trị đầu vào, sắp xếp lại
thí dụ 10.20
cho mạch (h 10.12), khóa k đóng ở t=0 và mạch không tích trữ năng lượng ban đầu. xác định i2(t)

viết pt vòng cho mạch

lấy biến đổi laplace, để ý mạch không tích trử năng lượng ban đầu:

giải hệ (3) và (4)
