PHẦN TỬ MẠCH ĐIỆN
Sự liên hệ giữa tín hiệu ra và tín hiệu vào của một mạch điện tùy thuộc vào bản chất và độ lớn của các phần tử cấu thành mạch điện và cách nối với nhau của chúng.
Người ta phân các phần tử ra làm hai loại:
Phần tử thụ động: là phần tử nhận năng lượng của mạch. Nó có thể tiêu tán năng lượng (dưới dạng nhiệt) hay tích trữ năng lượng (dưới dạng điện hoặc từ trường).
Gọi v(t) là hiệu thế hai đầu phần tử và i(t) là dòng điện chạy qua phần tử. Năng lượng của đoạn mạch chứa phần tử xác định bởi:
- Phần tử là thụ động khi W(t) > 0, nghĩa là dòng điện đi vào phần tử theo chiều giảm của điện thế.
Điện trở, cuộn dây và tụ điện là các phần tử thụ động.
Phần tử tác động: là phần tử cấp năng lượng cho mạch ngoài. Năng lượng của đoạn mạch chứa phần tử W(t)<0 và dòng điện qua phần tử theo chiều tăng của điện thế.
Các nguồn cấp điện như pin , accu và các linh kiện bán dẫn như transistor, OPAMP là các thí dụ của phần tử tác động.
Phần tử thụ động
Điện trở
- Ký hiệu (H 1.7)
- Hệ thức: 
Hay 
- Với G=1/R (gọi là điện dẫn)
Đơn vị của điện trở là 

- Năng lượng:
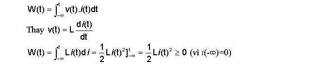
Cuộn dây
(a) (b)
(H 1.8)
- Ký hiệu (H 1.8a)
- Hệ thức: 
- Hay 
Đơn vị của cuộn dây là H (Henry)
Do cuộn dây là phần tử tích trữ năng lượng nên ở thời điểm t0 nào đó có thể cuộn dây đã trữ một năng lượng từ trường ứng với dòng điện i(t0)
Biểu thức viết lại:
Và mạch tương đương của cuộn dây được vẽ lại ở (H 1.8b)
Năng lượng tích trữ trong cuộn dây: