các định lý cơ bản của phép biến đổi laplace
thí dụ 10.3
tìm biến đổi laplace của cosωt và sinωt
từ công thức euler


biến đổi của e-atf(t)

khi hàm f(t) nhân với e-at, biến đổi laplace tương ứng e-at f(t) có được bằng cách thay f(s) bởi f(s+a)
thí dụ 10.4
tìm biến đổi laplace của e-atcosωt và e-atsinωt
chỉ cần thay s bởi s+a trong các các kết quả biến đổi của hàm sinωt và cosωt ở trên.
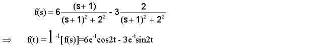
thí dụ 10.5
tìm f(t) ứng với 
viết lại f(s) , sao cho xuất hiện dạng f(s+a)
dùng kết quả của thí dụ 10.4 với a = 1 và ω = 2
biến đổi của f(t-τ)u(t-τ)
f(t-τ) là hàm f(t) trễ τ đơn vị thời gian. (lưu ý là f(t)=0 khi t<0 nên f(t-τ)=0 khi t<τ)
đổi biến số: x= t-τ

hãy so sánh (10.5) và (10.6)
* ở (10.5), f(s+a) biểu thị sự chuyển dịch của f(s) từ s đến s+a trong lãnh vực tần số tương ứng với nhân hàm f(t) với e-at trong lãnh vực thời gian.
* ở (10.6), f(t-τ) biểu thị sự chuyển dịch của hàm f(t) từ t đến t-τ trong lãnh vực thời gian tương ứng với nhân f(s) với e-sτ trong lãnh vực tần số.