Điện trở tương đương
Hai mạch gọi là tương đương với nhau khi người ta không thể phân biệt hai mạch này bằng cách đo dòng điện và hiệu thế ở những đầu ra của chúng.
Hai mạch lưỡng cực A và B ở (H 2.7) tương đương nếu và chỉ nếu:
ia = ib với mọi nguồn v
(H 2.7)
Dưới đây là phát biểu về khái niệm điện trở tương đương:
Bất cứ một lưỡng cực nào chỉ gồm điện trở và nguồn phụ thuộc đều tương đương với một điện trở.
Điện trở tương đương nhìn từ hai đầu a & b của một lưỡng cực được định nghĩa:
Trong đó v là nguồn bất kỳ nối vào hai đầu lưỡng cực.
(H 2.8)
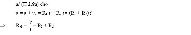
Thí dụ 2.3:
Mạch (H 2.9a) và (H 2.9b) là cầu chia điện thế và cầu chia dòng điện. Xác định các điện thế và dòng điện trong mạch.
(a) (H 2.9) (b)
Giải:


Từ các kết quả trên suy ra:
Thí dụ 2.4:
Tính Rtđ của phần mạch (H 2.10a)
(a) (b)
(H 2.10)
Giải:
Mắc nguồn hiệu thế v vào hai đầu a và b như (H2.10b) và chú ý i = i1.
Định luật KCL cho 