hệ số phẩm
tổng quát, hàm số mạch của một mạch lọc dải thông bậc 2 có dạng:

k, a> 0 & b> 0 là các hằng số thực.
để khảo sát biên độ của h(s), thay s =jw


tần số cắt xác định bởi:
điều này đạt được khi
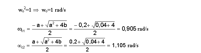
phương trình có 4 nghiệm, ta lấy 2 nghiệm dương

độ rộng băng tần
bw=wc2-wc1=a
thay các giá trị vừa xác định được vào (8.10)
đây là dạng tổng quát của hàm số mạch của mạch lọc dải thông bậc 2 có tần số giữa wo và băng thông bw
ngoài ra từ (8.11), (8.12) ta có:
wo2=wc2.wc1
một mạch lọc dải thông thường cũng là mạch cộng hưởng mà tính chất của nó được xác định bởi một đại lượng gọi là hệ số phẩm q, được định nghĩa như sau:

một mạch có hệ số q nhỏ thì độ rộng băng tần lớn và ngược lại. băng thông nhỏ đồng nghĩa với độ chọn lọc tốt, vậy hệ số phẩm q xác định độ chọn lọc của mạch.
q càng lớn độ chọn lọc càng tốt, sự cộng hưởng càng nhọn.
dùng hệ số phẩm q ta viết lại biểu thức hàm số mạch

và

nếu q lớn (q>>5) 1/2q<<1, hệ thức (8.15) trở thành
hay
wc2 và wc1 cách đều wo. đáp tuyến biên độ gần đối xứng.
thí dụ 8.5 cho mạch lọc dải thông có:


bw=wc2- wc1=0,2 rad/s
hệ số phẩm
nếu xem q=5 là lớn, ta dùng (8.16) để xác định wc2 và wc1
so với các kết quả trên, sai biệt khoảng 0,5%.